| ²é¿´: 3407 | »Ø¸´: 25 | ||
| µ±Ç°Ö»ÏÔʾÂú×ãÖ¸¶¨Ìõ¼þµÄ»ØÌû£¬µã»÷ÕâÀï²é¿´±¾»°ÌâµÄËùÓлØÌû | ||
¸ÇÈËÈÙгæ (СÓÐÃûÆø)
|
[ÇóÖú]
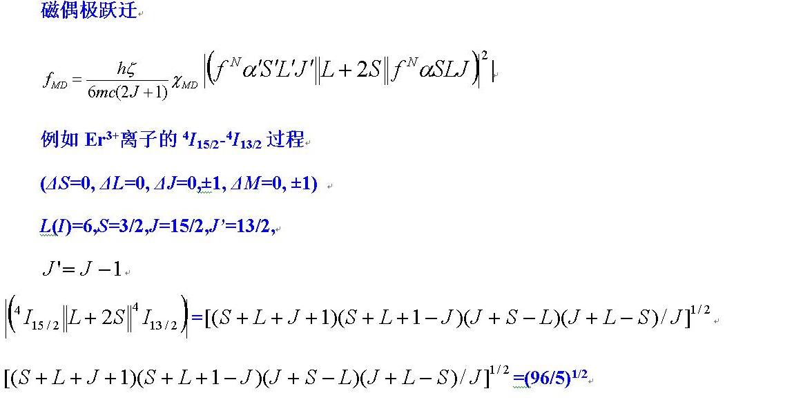
Ï¡ÍÁÀë×ӵĴÅżԾǨµÄÔ¼»¯¾ØÕóÔª
|
|
| ×î½üÕýÔÚ¼ÆËãÓйØÏ¡ÍÁÀë×ÓµÄJ-O²ÎÊý£¬·¢ÏÖµçżԼ»¯¾ØÕóÔªºÜºÃ²éµ½£¬¶ø´Åż¾ØÕóԪȴºÜÄѲ鵽£¬ÇëÎÊÔÚÄÄÀï¿ÉÒԲ鵽´ÅżԼ»¯¾ØÕóÔª£¿£¿£¿Ð»Ð» |
» ±¾ÌûÒÑ»ñµÃµÄºì»¨£¨×îÐÂ10¶ä£©
» ²ÂÄãϲ»¶
ÊÛSCIÒ»ÇøÎÄÕ£¬ÎÒ:8 O5 51O 54,¿ÆÄ¿ÆëÈ«,¿É+¼±
ÒѾÓÐ3È˻ظ´
ÊÛSCIÒ»ÇøÎÄÕ£¬ÎÒ:8 O5 51O 54,¿ÆÄ¿ÆëÈ«,¿É+¼±
ÒѾÓÐ4È˻ظ´
ÊÛSCIÒ»ÇøÎÄÕ£¬ÎÒ:8 O5 51O 54,¿ÆÄ¿ÆëÈ«,¿É+¼±
ÒѾÓÐ3È˻ظ´
ÊÛSCIÒ»ÇøÎÄÕ£¬ÎÒ:8 O5 51O 54,¿ÆÄ¿ÆëÈ«,¿É+¼±
ÒѾÓÐ3È˻ظ´
ÊÛSCIÒ»ÇøÎÄÕ£¬ÎÒ:8 O5 51O 54,¿ÆÄ¿ÆëÈ«,¿É+¼±
ÒѾÓÐ3È˻ظ´
ÊÛSCIÒ»ÇøÎÄÕ£¬ÎÒ:8 O5 51O 54,¿ÆÄ¿ÆëÈ«,¿É+¼±
ÒѾÓÐ3È˻ظ´
ÊÛSCIÒ»ÇøÎÄÕ£¬ÎÒ:8 O5 51O 54,¿ÆÄ¿ÆëÈ«,¿É+¼±
ÒѾÓÐ3È˻ظ´
»ù½ðÕýÎÄ30Ò³Ö¸µÄÊDZ¨¸æÕýÎÄ»¹ÊÇÕû¸öÉêÇëÊé
ÒѾÓÐ4È˻ظ´
½ñÄê´ºÍíÓм¸¸ö½ÚÄ¿ºÜ²»´í£¬µãÔÞ£¡
ÒѾÓÐ6È˻ظ´
ÇòÄ¥·ÛÌåʱÓöµ½ÁË´óµÄÎÊÌ⣬ÇëÖ¸½Ì£¡
ÒѾÓÐ15È˻ظ´

ÓÎÀ´ÓÎÈ¥
Òø³æ (ÕýʽдÊÖ)
- Ó¦Öú: 6 (Ó×¶ùÔ°)
- ½ð±Ò: 896.1
- É¢½ð: 510
- ºì»¨: 8
- Ìû×Ó: 508
- ÔÚÏß: 258.2Сʱ
- ³æºÅ: 1192158
- ×¢²á: 2011-01-18
- ÐÔ±ð: MM
- רҵ: ÎÞ»ú·Ç½ðÊôÀà¹âµçÐÅÏ¢Ó빦
19Â¥2011-11-25 10:26:02
Ëï?ª730
ÖÁ×ðľ³æ (ÖªÃû×÷¼Ò)
- ÎïÀíEPI: 7
- Ó¦Öú: 537 (²©Ê¿)
- ¹ó±ö: 0.961
- ½ð±Ò: 22954.7
- É¢½ð: 6464
- ºì»¨: 177
- ɳ·¢: 16
- Ìû×Ó: 8217
- ÔÚÏß: 2897.7Сʱ
- ³æºÅ: 490447
- ×¢²á: 2008-01-03
¡¾´ð°¸¡¿Ó¦Öú»ØÌû
¸ÇÈËÈÙ(½ð±Ò+5): ·Ç³£Ð»Ð»Äã 2011-11-23 18:19:36
|
×Ô¼º¶¯ÊÖËã¾Í¿ÉÒÔÁË |
» ±¾Ìû¸½¼þ×ÊÔ´Áбí
-
»¶Ó¼à¶½ºÍ·´À¡£ºÐ¡Ä¾³æ½öÌṩ½»Á÷ƽ̨£¬²»¶Ô¸ÃÄÚÈݸºÔð¡£
±¾ÄÚÈÝÓÉÓû§×ÔÖ÷·¢²¼£¬Èç¹ûÆäÄÚÈÝÉæ¼°µ½ÖªÊ¶²úȨÎÊÌ⣬ÆäÔðÈÎÔÚÓÚÓû§±¾ÈË£¬Èç¶Ô°æÈ¨ÓÐÒìÒ飬ÇëÁªÏµÓÊÏ䣺xiaomuchong@tal.com - ¸½¼þ 1 : tbvtvbv.JPG
2011-11-22 16:18:56, 58.93 K

2Â¥2011-11-22 16:19:44
Ëï?ª730
ÖÁ×ðľ³æ (ÖªÃû×÷¼Ò)
- ÎïÀíEPI: 7
- Ó¦Öú: 537 (²©Ê¿)
- ¹ó±ö: 0.961
- ½ð±Ò: 22954.7
- É¢½ð: 6464
- ºì»¨: 177
- ɳ·¢: 16
- Ìû×Ó: 8217
- ÔÚÏß: 2897.7Сʱ
- ³æºÅ: 490447
- ×¢²á: 2008-01-03

3Â¥2011-11-22 16:21:34
ybhan
½ð³æ (ÕýʽдÊÖ)
- Ó¦Öú: 12 (СѧÉú)
- ½ð±Ò: 1429.5
- É¢½ð: 49
- ºì»¨: 1
- Ìû×Ó: 598
- ÔÚÏß: 111.9Сʱ
- ³æºÅ: 447427
- ×¢²á: 2007-11-01
- ÐÔ±ð: GG
- רҵ: Äý¾Û̬ÎïÐÔ II £ºµç×ӽṹ
4Â¥2011-11-22 17:25:08













»Ø¸´´ËÂ¥
¸ÇÈËÈÙ
