| ²é¿´: 704 | »Ø¸´: 0 | ||
tonywongÌú³æ (СÓÐÃûÆø)
|
[ÇóÖú]
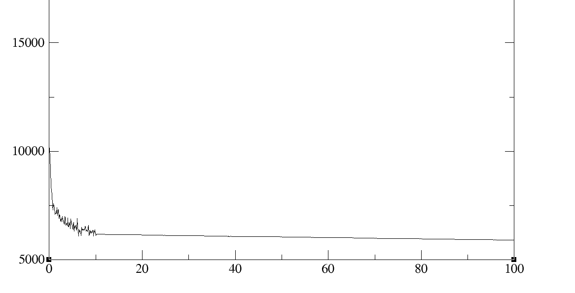
DLPOLY½øÐÐNVE MDÄ£ÄâµÄʱºò£¬×ÜÄÜÁ¿Ëæ×Åʱ¼äÍÆÒÆÖð½¥Ï½µ¿ÉÄÜÊÇʲôÔÒòÄØ£¿
|
|
½øÐоÛÒÒÏ©µÄMDÄ£Ä⣬ÎÞ¶¨ÐÍ̬Õý³£½á¹û£¬µ«ÊÇÓöµ½¾§Ì¬Ê±£¬×ÜÄÜÁ¿Óëʱ¼äÇúÏß¾ÓÈ»ÊǵݼõµÄ£¬ÏëÖªµÀÔÒò´ó¸Å¿ÉÄÜÊÇÊ²Ã´ÄØ£¿³¢ÊÔÁ˲»Í¬²½³¤£¬²»Í¬cutoff£¬½á¹ûÒÀÈ»Èç´Ë¡£¡£¡£ÖÜÆÚÐԱ߽çÌõ¼þ£¬µ«ÊÇÊdz¤·½ÐεĺÐ×Ó¡£ |
» ²ÂÄãϲ»¶
²ÄÁÏ¿¼Ñе÷¼Á
ÒѾÓÐ29È˻ظ´
297¹¤¿Æ£¬Çóµ÷¼Á?
ÒѾÓÐ10È˻ظ´
211±¾¿Æ²ÄÁÏ»¯¹¤Çóµ÷¼Á
ÒѾÓÐ19È˻ظ´
0831Ò»ÂÖµ÷¼Áʧ°ÜÇóÖú
ÒѾÓÐ10È˻ظ´
²ÄÁÏÏà¹Ø×¨Òµ344Çóµ÷¼ÁË«·Ç¹¤¿ÆÑ§Ð£»ò¿ÎÌâ×é
ÒѾÓÐ9È˻ظ´
Çóµ÷¼Á£¬985²ÄÁÏÓ뻯¹¤348·Ö
ÒѾÓÐ13È˻ظ´
085600²ÄÁÏÓ뻯¹¤349·ÖÇóµ÷¼Á
ÒѾÓÐ8È˻ظ´
Ò»Ö¾Ô¸ÖÐÄÏ´óѧ 0855 »úе 286 Çóµ÷¼Á
ÒѾÓÐ9È˻ظ´
Ò»Ö¾Ô¸085502£¬267·ÖÇóµ÷¼Á
ÒѾÓÐ15È˻ظ´
Ò»Ö¾Ô¸Õã´óÉúÎï325·ÖÇóµ÷¼Á
ÒѾÓÐ9È˻ظ´














»Ø¸´´ËÂ¥