| ²é¿´: 1490 | »Ø¸´: 2 | ||
ÍõÓÑöÎ1989гæ (³õÈëÎÄ̳)
|
[ÇóÖú]
¶þµâ¼×Íé×÷ÈܼÁµÄºó´¦ÀíÎÊÌâ
|
|
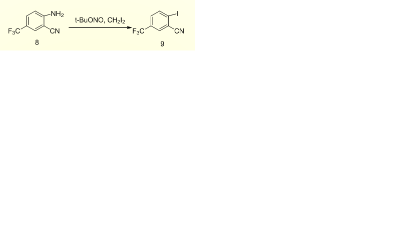
ÎÒ×öµÄÕâ¸ö·´Ó¦£¬Óöþµâ¼×Íé×öÈܼÁºÍµâ»¯¼Á£¬ÎÊÌâÊǺó´¦ÀíʱÎҵIJúÎïÔÚ¶þµâ¼×ÍéÖÐÈܽâ¶È·Ç³£ºÃ£¬¹ýÖù×Ó·Ö²»¿ª£¬Ö±½ÓÕôµô¶þµâ¼×ÍéµÄ»°£¬²úÎï»áºÍ¶þµâ¼×ÍéÒ»Æð±»Õô³öÀ´£¬²»ÖªµÀÔõô°ìÁË~ ·½³Ìʽ |
» ²ÂÄãϲ»¶
²ÄÁÏ¿¼Ñе÷¼Á
ÒѾÓÐ3È˻ظ´
²ÄÁϵ÷¼Á
ÒѾÓÐ12È˻ظ´
Ó¢Ò»ÊýÒ»408£¬×Ü·Ö284£¬¶þÕ½Õæ³ÏÇóµ÷¼Á
ÒѾÓÐ14È˻ظ´
085410 Ò»Ö¾Ô¸211 22408·ÖÊý359Çóµ÷¼Á
ÒѾÓÐ4È˻ظ´
271Çóµ÷¼Á
ÒѾÓÐ19È˻ظ´
385·Ö ÉúÎïѧ£¨071000£©Çóµ÷¼Á
ÒѾÓÐ3È˻ظ´
Ò»Ö¾Ô¸°²»Õ´óѧ¼ÆËã»ú¿ÆÑ§Óë¼¼Êõѧ˶£¬331·ÖÇóµ÷¼Á
ÒѾÓÐ3È˻ظ´
318Çóµ÷¼Á£¬¼ÆËã²ÄÁÏ·½Ïò
ÒѾÓÐ8È˻ظ´
291Çóµ÷¼Á
ÒѾÓÐ25È˻ظ´
Ò»Ö¾Ô¸±±¾©¿Æ¼¼´óѧ085601²ÄÁϹ¤³ÌÓ¢Ò»Êý¶þ³õÊÔ×Ü·Ö335Çóµ÷¼Á
ÒѾÓÐ6È˻ظ´
» ±¾Ö÷ÌâÏà¹Ø¼ÛÖµÌùÍÆ¼ö£¬¶ÔÄúͬÑùÓаïÖú:
¼×»ù»¯ÎÊÌâ
ÒѾÓÐ9È˻ظ´
ÁÚ±½¶þ¼×ÃѵĺϳÉ
ÒѾÓÐ24È˻ظ´
suzuki·´Ó¦×ö¾ÛºÏÎïºó´¦ÀíÌá´¿ÎÊÌâ
ÒѾÓÐ12È˻ظ´
¹ØÓÚ¸ñÊÏÊÔ¼Á²»ÄÜÒý·¢µÄÎÊÌâ
ÒѾÓÐ13È˻ظ´
¡¾ÇóÖú¡¿ÁÚ±½¶þ°·¼×õ£»¯
ÒѾÓÐ5È˻ظ´
¡¾ÌÖÂÛ¡¿ºÏ³ÉßäßòÀ໯ºÏÎï¸ßÊÖÇë½ø,̽ÌÖ´Ë·´Ó¦µÄ½á¹û,лл½»Á÷
ÒѾÓÐ36È˻ظ´
×öõ¥Óöµ½µÄÎÊÌâ
ÒѾÓÐ2È˻ظ´
¡¾ÇóÖú¡¿¹ÌÏàÝÍÈ¡
ÒѾÓÐ11È˻ظ´
¡¾ÇóÖú¡¿Ò»Éϼ׻ùµÄ·´Ó¦
ÒѾÓÐ14È˻ظ´
·ÖÏí£º¸ñÊÏ·´Ó¦¼°Ó¦ÓÃ
ÒѾÓÐ15È˻ظ´

sangfeng33
ľ³æ (ÕýʽдÊÖ)
- Ó¦Öú: 6 (Ó×¶ùÔ°)
- ½ð±Ò: 5918.5
- É¢½ð: 1665
- ºì»¨: 9
- Ìû×Ó: 460
- ÔÚÏß: 162.4Сʱ
- ³æºÅ: 889579
- ×¢²á: 2009-10-31
- ÐÔ±ð: GG
- רҵ: ºÏ³ÉÒ©Îﻯѧ
¡¾´ð°¸¡¿Ó¦Öú»ØÌû
¡ï
qinhy(½ð±Ò+1): ¶àл»ØÌû~ 2011-11-17 22:01:02
qinhy(½ð±Ò+1): ¶àл»ØÌû~ 2011-11-17 22:01:02
| ÕâÁ½¸ö»¯ºÏÎï·Ðµã²î±ð»¹ÊDZȽϴóµÄ£¬½¨ÒéÓö¨µãÕôÁóµÄ·½·¨´¿»¯£¬Ó¦¸ÃÊǶþµâ¼×ÍéÏȳöÀ´ |

2Â¥2011-11-17 08:57:10
ÍõÓÑöÎ1989
гæ (³õÈëÎÄ̳)
- Ó¦Öú: 0 (Ó×¶ùÔ°)
- Ìû×Ó: 6
- ÔÚÏß: 64Сʱ
- ³æºÅ: 1410090
- ×¢²á: 2011-09-20
- רҵ: Ò©Îﻯѧ

3Â¥2011-11-18 09:10:28














»Ø¸´´ËÂ¥