24小时热门版块排行榜    

Znn3bq.jpeg
查看: 210  |  回复: 0

flyin-thesky

铜虫 (小有名气)

[求助] 求助

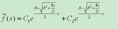
如何将该式通过拉普拉斯逆变换变成f(t)的形式
回复此楼

» 猜你喜欢

已阅   回复此楼   关注TA 给TA发消息 送TA红花 TA的回帖
相关版块跳转 我要订阅楼主 flyin-thesky 的主题更新
最具人气热帖推荐 [查看全部] 作者 回/看 最后发表
[基金申请] 面上本子正文33页,违规吗?会被低分嘛? +10 1234567wang 2026-05-17 12/600 2026-05-20 16:48 by metal_D
[论文投稿] Sci. Bull. 悲剧经验 +6 jyang1999 2026-05-16 7/350 2026-05-20 16:39 by feng6531
[基金申请] 提交了我也来说说感想 +5 fummck 2026-05-20 5/250 2026-05-20 15:01 by 六两废铜
[基金申请] 今年审到国自然15份,谈谈感受 +19 国自然国社科中 2026-05-17 20/1000 2026-05-20 14:14 by 仲夏夜的星星
[基金申请] 评审有感 +13 popular289 2026-05-18 22/1100 2026-05-20 11:28 by 水和泥不是水泥
[基金申请] 河北省自然科学基金 +3 Peterchao 2026-05-18 3/150 2026-05-20 08:57 by 霸_霸
[教师之家] 上海大学实验技术岗位非升即走 +12 嘻嘻哈哈乐呵呵 2026-05-15 13/650 2026-05-20 08:34 by xli1984
[文学芳草园] 献血感触 +6 呀呀好傻 2026-05-19 11/550 2026-05-19 22:26 by 而立得乐
[考博] 云南大学材料与能源学院解琳课题组钙钛矿博士招生 +3 光伏爱好者 2026-05-17 5/250 2026-05-19 19:13 by 光伏爱好者
[考博] 找博士生导师 +6 小代想上岸 2026-05-15 7/350 2026-05-19 10:22 by free_fisher
[考博] 26/27申博自荐-锂/钠电池方向 5+3 狗头军师. 2026-05-15 4/200 2026-05-19 09:10 by moonboat
[基金申请] 同样的基金本子,换个专家直接从C变A! (金币-10) +3 国自然国社科中 2026-05-19 3/150 2026-05-19 08:50 by Equinoxhua
[基金申请] 别被青基扩招骗了!26年科研内卷才刚刚开始 +3 国自然国社科中 2026-05-14 4/200 2026-05-19 08:48 by archvillain
[考博] 2026博士还有哪些学校有名额 +7 小王求读研 2026-05-15 8/400 2026-05-19 08:27 by zhyzzh
[考博] 博士申请 +5 星…… 2026-05-18 6/300 2026-05-18 23:49 by 糊糊涂涂好
[基金申请] 国自然上会要求 +5 无名者登山 2026-05-18 9/450 2026-05-18 17:50 by BlakeReary
[硕博家园] 我在等一个没有答案的答案 +3 Love_MH 2026-05-17 3/150 2026-05-18 02:22 by 竹林孤影
[文学芳草园] 半夜喝咖啡 +3 myrtle 2026-05-15 5/250 2026-05-18 01:03 by 小沈2018
[有机交流] 求助2,4-二氯-5-嘧啶甲醛的合成方法 20+3 光吃不拉 2026-05-14 6/300 2026-05-16 19:46 by Equinoxhua
[硕博家园] 申请博士 +3 呃?呃 2026-05-15 3/150 2026-05-16 11:01 by a4742549
信息提示
请填处理意见