| 查看: 1281 | 回复: 8 | |||
w76990480荣誉版主 (文坛精英)
super-emuch
|
[求助]
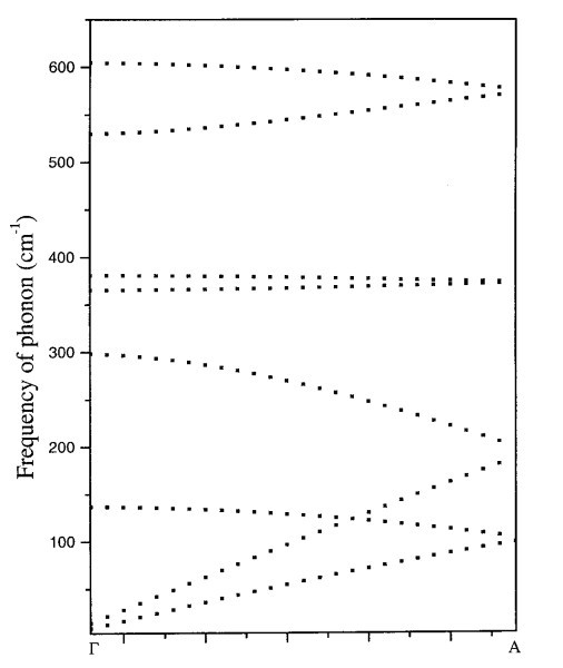
高手指点下,声子谱
|
||
![]() |
|||
|
|
|||
hanyanli0475铜虫 (小有名气)
|
|||
![]() |
|||
|
2楼2011-11-07 08:00:59
|
|
||
gemucai木虫 (正式写手)
|
|||
|
3楼2011-11-07 10:42:00
|
|
||
w76990480荣誉版主 (文坛精英)
super-emuch
|
|||
![]() |
|||
|
4楼2011-11-07 10:46:01
|
|
||
gemucai木虫 (正式写手)
|
|||
|
5楼2011-11-08 19:54:56
|
|
||
souledge专家顾问 (著名写手)
|
|||
![]() |
|||
|
6楼2011-11-09 09:10:49
|
|
||
w76990480荣誉版主 (文坛精英)
super-emuch
|
|||
![]() |
|||
|
7楼2011-11-09 10:03:39
|
|
||
souledge专家顾问 (著名写手)
|
|||
![]() |
|||
|
8楼2011-11-09 13:22:51
|
|
||
souledge专家顾问 (著名写手)
|
|||
![]() |
|||
|
9楼2011-11-09 14:24:05
|
|














回复此楼

先试试结果再说~
LZ贴一贴结果啊,事实上因为我自己的计算跟这几个元素没关系,所以我也没测试过,只是觉得理论上这几个赝势应该质量尚可。当然,跟我的计算相关的我是都测试了,效果不能说非常出众,但是感觉已经足够好了~