| 查看: 1063 | 回复: 7 | |
| 【奖励】 本帖被评价6次,作者speter增加金币 4.8 个 | |
[资源]
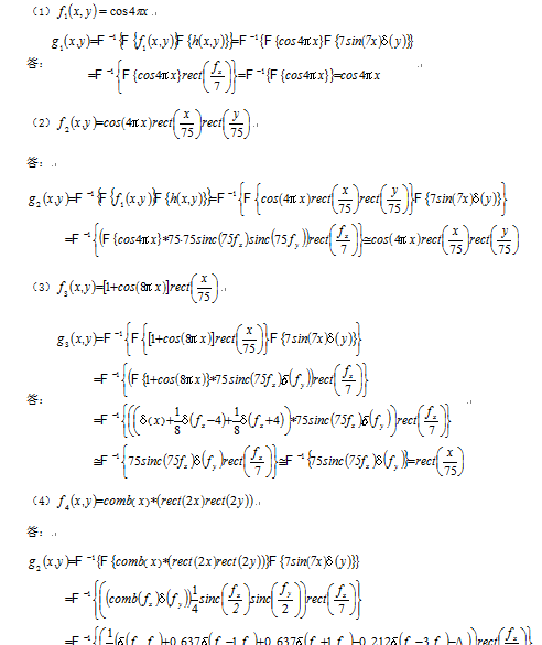
【习题资源】光学信息技术原理及应用习题解答及试卷(庄松林)
|
|
|
|
|
|
3楼2011-11-05 23:21:29
|
|
|
6楼2012-11-15 21:10:35
|
|
简单回复 | |
|
flmzxj2楼
|
2011-11-05 20:46
回复
五星好评
|
|
2012-02-28 10:48
回复
五星好评 顶一下,感谢分享!
|
|
|
遨游天下先l5楼
|
2012-11-07 06:41
回复
五星好评 顶一下,感谢分享
|
|
2014-02-23 00:15
回复
五星好评 顶一下,感谢分享!
|
|
|
sunhb8楼
|
2014-07-13 21:48
回复
五星好评 顶一下,感谢分享!
|














回复此楼
