版块导航
正在加载中...
客户端APP下载
论文辅导
申博辅导
登录
注册
帖子
帖子
用户
本版
应《网络安全法》要求,自2017年10月1日起,未进行实名认证将不得使用互联网跟帖服务。为保障您的帐号能够正常使用,请尽快对帐号进行手机号验证,感谢您的理解与支持!
24小时热门版块排行榜
>
论坛更新日志
(3512)
>
文献求助
(342)
>
导师招生
(263)
>
虫友互识
(262)
>
考博
(140)
>
休闲灌水
(96)
>
招聘信息布告栏
(83)
>
硕博家园
(80)
>
博后之家
(73)
>
基金申请
(59)
>
论文投稿
(56)
>
论文道贺祈福
(48)
>
考研
(48)
>
公派出国
(42)
>
找工作
(38)
>
教师之家
(33)
小木虫论坛-学术科研互动平台
»
网络生活区
»
有奖问答
»
有奖问答完结子版
»
碘代反应的条件
5
1/1
返回列表
查看: 2228 | 回复: 4
只看楼主
@他人
存档
新回复提醒
(忽略)
收藏
在APP中查看
本帖产生 1 个 博学EPI ,点击这里进行查看
hejuan870116
新虫
(初入文坛)
应助: 0
(幼儿园)
金币: 105.5
帖子: 39
在线: 6.4小时
虫号: 1040707
注册: 2010-06-12
专业: 有机合成
[
求助
]
碘代反应的条件
这个反应一直做不成功,请哪位虫友指点一下,要想实现碘代反应需要什么条件和原料
回复此楼
» 猜你喜欢
溴的反应液脱色
已经有7人回复
国自然申请面上模板最新2026版出了吗?
已经有11人回复
推荐一本书
已经有12人回复
基金申报
已经有4人回复
计算机、0854电子信息(085401-058412)调剂
已经有4人回复
纳米粒子粒径的测量
已经有7人回复
常年博士招收(双一流,工科)
已经有4人回复
参与限项
已经有5人回复
有没有人能给点建议
已经有5人回复
萌生出自己或许不适合搞科研的想法,现在跑or等等看?
已经有4人回复
» 本主题相关价值贴推荐,对您同样有帮助:
碘代黄酮制备
已经有6人回复
端炔和碘代烃的偶联反应 急急急~~~ Please Help
已经有3人回复
碘代物与咔唑的反应
已经有2人回复
碘代烷的胺化
已经有0人回复
碘代烷和酚的Williamson成醚反应---如何来实现?
已经有2人回复
吲唑3位碳在KOH条件下被碘代的反应机理
已经有1人回复
吲唑3位碳在KOH条件下被碘代的反应机理
已经有0人回复
吲唑碘代反应机理
已经有7人回复
金属对有机碘代物脱碘影响机理
已经有4人回复
溴代丙炔和邻碘苯胺的取代反应需要什么条件
已经有1人回复
芳基碘代物的suzuki反应求助!
已经有7人回复
求1,3,5-三甲苯碘代反应的合成条件
已经有8人回复
关于芳基碘代问题
已经有5人回复
碘代的问题
已经有5人回复
芳烃碘代物的制备方法
已经有4人回复
大家有哪位做过图示用嘌呤和碘代环己烷的相关或者类似的反应
已经有3人回复
碘代反应能发生吗?
已经有5人回复
三苯基磷催化条件下碘与亚甲基醇的碘代反应具体反应条件
已经有0人回复
求助 三苯基膦/咪唑/碘 体系进行碘代醇羟基的反应
已经有4人回复
求助:为何制备不出碘代苯乙酮,恳求高人指教!!
已经有17人回复
含双键碘代物与三苯基膦反应季膦化
已经有3人回复
求助双保护丝氨酸支链羟基的碘代反应
已经有2人回复
【求助】烯烃硼酸碘代和溴代的机理,希望能图解
已经有2人回复
【求助】在I2 和 Br2同时存在的条件下,羰基a位更易发生碘代还是溴代反应?
已经有2人回复
1楼
2011-11-01 16:37:33
已阅
回复此楼
关注TA
给TA发消息
送TA红花
TA的回帖
li273273
至尊木虫
(职业作家)
暗黑破坏神
博学EPI: 124
应助: 95
(初中生)
贵宾: 0.908
金币: 10119.3
散金: 2317
红花: 122
沙发: 321
帖子: 3178
在线: 468.9小时
虫号: 626160
注册: 2008-10-14
性别: GG
专业: 有机合成
【答案】应助回帖
hejuan870116(金币+10, 博学EPI+1): 2011-11-08 14:59:53
用过NIS吗?
就是碘代丁二酰亚胺,应该是2。5倍量,以氯仿作为溶剂
赞
一下
回复此楼
没有我破坏不了的
2楼
2011-11-01 16:43:26
已阅
回复此楼
关注TA
给TA发消息
送TA红花
TA的回帖
hejuan870116
新虫
(初入文坛)
应助: 0
(幼儿园)
金币: 105.5
帖子: 39
在线: 6.4小时
虫号: 1040707
注册: 2010-06-12
专业: 有机合成
原理是什么?过量的怎么除去啊?
赞
一下
回复此楼
3楼
2011-11-01 18:54:53
已阅
回复此楼
关注TA
给TA发消息
送TA红花
TA的回帖
btbuwang
禁虫
(小有名气)
本帖内容被屏蔽
4楼
2011-11-22 23:31:48
已阅
回复此楼
关注TA
给TA发消息
送TA红花
TA的回帖
zlfbaggio
铜虫
(小有名气)
应助: 0
(幼儿园)
金币: 135.9
帖子: 77
在线: 20.3小时
虫号: 908715
注册: 2009-11-21
专业: 天然药物化学
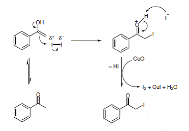
可以用CuO,使碘发生亲核取代。参见:
Guodong Yin, et al. Highly Efficient and Clean Method for Direct alpha-Iodination of Aromatic Ketones. Synthesis 2007(20): 3113-3116
possible mechanism
赞
一下
回复此楼
5楼
2012-05-29 23:10:27
已阅
回复此楼
关注TA
给TA发消息
送TA红花
TA的回帖
相关版块跳转
有奖问答中转子版
有奖问答完结子版
我要订阅楼主
hejuan870116
的主题更新
5
1/1
返回列表
如果回帖内容含有宣传信息,请如实选中。否则帐号将被全论坛禁言
普通表情
龙
兔
虎
猫
百度网盘
|
360云盘
|
千易网盘
|
华为网盘
在新窗口页面中打开自己喜欢的网盘网站,将文件上传后,然后将下载链接复制到帖子内容中就可以了。
信息提示
关闭
请填处理意见
关闭
确定