²é¿´: 3222  |  »Ø¸´: 15
±¾Ìû²úÉú 1 ¸ö ÎïÀíEPI £¬µã»÷ÕâÀï½øÐв鿴

kangx

гæ (ÕýʽдÊÖ)


[½»Á÷] Æ«Õñ¿ØÖÆÆ÷

Ë­ÄÜÓÃͨË×Ò×¶®µÄÓïÑÔ½²½âÒ»ÏÂÆ«Õñ¿ØÖÆÆ÷µÄÔ­Àí£¿ÎÒµÄÀí½âÊÇͨ¹ýijÖÖ·½Ê½Ê¹o¹âe¹â²úÉúÑÓ³Ù£¬È»ºóñîºÏ£¬o¹âºÍe¹âµÄÆ«Õñ̬һµþ¼Ó¾Í»á³öÏÖ²»Í¬µÄÆ«Õñ̬¡£ ²»ÖªµÀ¶Ô²»¶Ô¡£Æ«Õñ¿ØÖÆÆ÷»á²»»á¸Ä±ä¹âµÄÇ¿¶È£¿
»Ø¸´´ËÂ¥

» ÊÕ¼±¾ÌûµÄÌÔÌûר¼­ÍƼö

ÔÄÐDzÝÅï Çཷ²»À± À±½·²»Çà ÎïÀí¹âѧ

» ²ÂÄãϲ»¶

» ÇÀ½ð±ÒÀ²£¡»ØÌû¾Í¿ÉÒԵõ½:

²é¿´È«²¿É¢½ðÌù

ÒÑÔÄ   »Ø¸´´ËÂ¥   ¹Ø×¢TA ¸øTA·¢ÏûÏ¢ ËÍTAºì»¨ TAµÄ»ØÌû

opt-comm

ľ³æ (ÕýʽдÊÖ)


¡ï
kangx(½ð±Ò+1):лл²ÎÓë
ÒýÓûØÌû:
1Â¥: Originally posted by kangx at 2011-10-18 10:27:20:
Ë­ÄÜÓÃͨË×Ò×¶®µÄÓïÑÔ½²½âÒ»ÏÂÆ«Õñ¿ØÖÆÆ÷µÄÔ­Àí£¿ÎÒµÄÀí½âÊÇͨ¹ýijÖÖ·½Ê½Ê¹o¹âe¹â²úÉúÑÓ³Ù£¬È»ºóñîºÏ£¬o¹âºÍe¹âµÄÆ«Õñ̬һµþ¼Ó¾Í»á³öÏÖ²»Í¬µÄÆ«Õñ̬¡£ ²»ÖªµÀ¶Ô²»¶Ô¡£Æ«Õñ¿ØÖÆÆ÷»á²»»á¸Ä±ä¹âµÄÇ¿¶È£¿

¹±Ï×Ò»¸öÎҵĹØÓÚÆ«Õñ¹âµÄ½²Òå¡£

µÚÒ»Ò³

3Â¥2011-10-18 22:17:26
ÒÑÔÄ   »Ø¸´´ËÂ¥   ¹Ø×¢TA ¸øTA·¢ÏûÏ¢ ËÍTAºì»¨ TAµÄ»ØÌû

opt-comm

ľ³æ (ÕýʽдÊÖ)


ÒýÓûØÌû:
2Â¥: Originally posted by kangx at 2011-10-18 15:28:46:

½ÓÐø

µÚ¶þÒ³



µÚÈýÒ³



µÚËÄÒ³

4Â¥2011-10-18 22:19:51
ÒÑÔÄ   »Ø¸´´ËÂ¥   ¹Ø×¢TA ¸øTA·¢ÏûÏ¢ ËÍTAºì»¨ TAµÄ»ØÌû

opt-comm

ľ³æ (ÕýʽдÊÖ)


½ÓÐø

µÚÎåÒ³



µÚÁùÒ³



µÚÆßÒ³

5Â¥2011-10-18 22:22:36
ÒÑÔÄ   »Ø¸´´ËÂ¥   ¹Ø×¢TA ¸øTA·¢ÏûÏ¢ ËÍTAºì»¨ TAµÄ»ØÌû

opt-comm

ľ³æ (ÕýʽдÊÖ)


½ÓÐø

µÚ°ËÒ³



µÚ¾ÅÒ³



µÚʮҳ

6Â¥2011-10-18 22:24:45
ÒÑÔÄ   »Ø¸´´ËÂ¥   ¹Ø×¢TA ¸øTA·¢ÏûÏ¢ ËÍTAºì»¨ TAµÄ»ØÌû

opt-comm

ľ³æ (ÕýʽдÊÖ)


½ÓÐø

µÚʮһҳ



µÚÊ®¶þÒ³



µÚÊ®ÈýÒ³

7Â¥2011-10-18 22:26:19
ÒÑÔÄ   »Ø¸´´ËÂ¥   ¹Ø×¢TA ¸øTA·¢ÏûÏ¢ ËÍTAºì»¨ TAµÄ»ØÌû

opt-comm

ľ³æ (ÕýʽдÊÖ)


½ÓÐø

µÚÊ®ËÄÒ³



µÚÊ®ÎåÒ³



µÚÊ®ÁùÒ³

8Â¥2011-10-18 22:27:57
ÒÑÔÄ   »Ø¸´´ËÂ¥   ¹Ø×¢TA ¸øTA·¢ÏûÏ¢ ËÍTAºì»¨ TAµÄ»ØÌû

opt-comm

ľ³æ (ÕýʽдÊÖ)


½ÓÐø

µÚÊ®ÆßÒ³



µÚÊ®°ËÒ³



µÚÊ®¾ÅÒ³

9Â¥2011-10-18 22:29:51
ÒÑÔÄ   »Ø¸´´ËÂ¥   ¹Ø×¢TA ¸øTA·¢ÏûÏ¢ ËÍTAºì»¨ TAµÄ»ØÌû

opt-comm

ľ³æ (ÕýʽдÊÖ)


½ÓÐø

µÚ¶þʮҳ



µÚ¶þʮһҳ



µÚ¶þÊ®¶þÒ³

10Â¥2011-10-18 22:31:14
ÒÑÔÄ   »Ø¸´´ËÂ¥   ¹Ø×¢TA ¸øTA·¢ÏûÏ¢ ËÍTAºì»¨ TAµÄ»ØÌû

opt-comm

ľ³æ (ÕýʽдÊÖ)


½ÓÐø

µÚ¶þÊ®ÈýÒ³



µÚ¶þÊ®ËÄÒ³



µÚ¶þÊ®ÎåÒ³

11Â¥2011-10-18 22:32:46
ÒÑÔÄ   »Ø¸´´ËÂ¥   ¹Ø×¢TA ¸øTA·¢ÏûÏ¢ ËÍTAºì»¨ TAµÄ»ØÌû

opt-comm

ľ³æ (ÕýʽдÊÖ)


¡ï ¡ï ¡ï ¡ï ¡ï
yxchao116(½ð±Ò+5, ÎïÀíEPI+1): 3X 2011-10-19 10:29:10
½ÓÐø

µÚ¶þÊ®ÁùÒ³



µÚ¶þÊ®ÆßÒ³



µÚ¶þÊ®°ËÒ³£¨Í꣩

12Â¥2011-10-18 22:34:17
ÒÑÔÄ   »Ø¸´´ËÂ¥   ¹Ø×¢TA ¸øTA·¢ÏûÏ¢ ËÍTAºì»¨ TAµÄ»ØÌû

opt-comm

ľ³æ (ÕýʽдÊÖ)


ÒýÓûØÌû:
1Â¥: Originally posted by kangx at 2011-10-18 10:27:20:
Ë­ÄÜÓÃͨË×Ò×¶®µÄÓïÑÔ½²½âÒ»ÏÂÆ«Õñ¿ØÖÆÆ÷µÄÔ­Àí£¿ÎÒµÄÀí½âÊÇͨ¹ýijÖÖ·½Ê½Ê¹o¹âe¹â²úÉúÑÓ³Ù£¬È»ºóñîºÏ£¬o¹âºÍe¹âµÄÆ«Õñ̬һµþ¼Ó¾Í»á³öÏÖ²»Í¬µÄÆ«Õñ̬¡£ ²»ÖªµÀ¶Ô²»¶Ô¡£Æ«Õñ¿ØÖÆÆ÷»á²»»á¸Ä±ä¹âµÄÇ¿¶È£¿

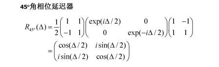
ÓÃijÖÖ·½·¨²úÉúË«ÕÛÉ䣬ÔÚÁ½¸öÕý½»·½Ïò²úÉúÏàλ²î£¬¿ÉÒÔÖÆ³ÉÆ«Õñ¿ØÖÆÆ÷µÄÒ»¸ö²¨Æ¬¡£Ä¿Ç°¹âÏËͨÐÅÖÐ×î³£Óõķ½·¨Èç¹âÏËÍäÇú£¨½«¹âÏËÈÆÔÚÔ²ÐÎÖáÉÏ£¬´®ÐÐ×öÉÏÈý¸ö£¬1/4+1/2+1/4£¬ÖƳÉÊÖ¶¯Æ«Õñ¿ØÖÆÆ÷£©¡¢¹âÏ˼·Ñ¹£¨ÓÃѹµçÌմɼ·Ñ¹£¬¿ÉÒÔÖÆ³Éµçѹ¿ØÖÆÏàλƫÕñ¿ØÖÆÆ÷£©¡¢¾§Ìåµç¹âЧӦ£¨ÀûÓõç¹âЧӦ£¬µçѹ¿ØÖÆ£©¡£ÏàλÑÓ³ÙÆ÷ÀíÂÛÉϲ»»áÓÐÄÜÁ¿Ëðʧ¡£µ±È»Ò»°ãÆ«Õñ¿ØÖÆÆ÷ÓвåÈëËðºÄ£¨½ÓÍ·ÒýÆð£©¡£
13Â¥2011-10-18 22:45:03
ÒÑÔÄ   »Ø¸´´ËÂ¥   ¹Ø×¢TA ¸øTA·¢ÏûÏ¢ ËÍTAºì»¨ TAµÄ»ØÌû

kangx

гæ (ÕýʽдÊÖ)


¸ÐлÕâôÏêϸµÄ»Ø¸´
14Â¥2011-10-19 09:44:46
ÒÑÔÄ   »Ø¸´´ËÂ¥   ¹Ø×¢TA ¸øTA·¢ÏûÏ¢ ËÍTAºì»¨ TAµÄ»ØÌû

±¼±¼±¼

гæ (СÓÐÃûÆø)


¡ï
kangx(½ð±Ò+1): лл²ÎÓë
¸Ðл¥Ö÷
16Â¥2012-08-23 14:40:16
ÒÑÔÄ   »Ø¸´´ËÂ¥   ¹Ø×¢TA ¸øTA·¢ÏûÏ¢ ËÍTAºì»¨ TAµÄ»ØÌû
¼òµ¥»Ø¸´
kangx2Â¥
2011-10-18 15:28   »Ø¸´  
yerufeng2015Â¥
2011-10-19 23:51   »Ø¸´  
kangx(½ð±Ò+1):лл²ÎÓë
Ïà¹Ø°æ¿éÌø×ª ÎÒÒª¶©ÔÄÂ¥Ö÷ kangx µÄÖ÷Ìâ¸üÐÂ
×î¾ßÈËÆøÈÈÌûÍÆ¼ö [²é¿´È«²¿] ×÷Õß »Ø/¿´ ×îºó·¢±í
[¿¼ÑÐ] ÊÕ¸´ÊÔµ÷¼ÁÉú +3 ÓêºóÇïºÉ 2026-03-18 3/150 2026-03-18 11:36 by xduµç×Ó
[¿¼ÑÐ] 070300»¯Ñ§319Çóµ÷¼Á +5 ½õÀð0909 2026-03-17 5/250 2026-03-18 10:21 by macy2011
[¿¼ÑÐ] 0703»¯Ñ§µ÷¼Á +3 pupcoco 2026-03-17 6/300 2026-03-18 10:11 by macy2011
[¿¼ÑÐ] ²ÄÁϹ¤³Ìר˶µ÷¼Á +5 204818@lcx 2026-03-17 5/250 2026-03-17 17:27 by Little-xue
[˶²©¼ÒÔ°] ºþ±±¹¤Òµ´óѧ ÉúÃü¿ÆÑ§Ó뽡¿µÑ§Ôº-¿ÎÌâ×éÕÐÊÕ2026¼¶Ê³Æ·/ÉúÎï·½Ïò˶ʿ +3 1ϲ´º8 2026-03-17 5/250 2026-03-17 17:18 by ber´¨cool×Ó
[¿¼ÑÐ] 271Çóµ÷¼Á +12 ÉúÈçÏÄ»¨¡­ 2026-03-11 14/700 2026-03-17 10:56 by lovewei0727
[¿¼ÑÐ] Ò»Ö¾Ô¸£¬¸£ÖÝ´óѧ²ÄÁÏר˶339·ÖÇóµ÷¼Á +3 ľ×ÓmomoÇàÕù 2026-03-15 3/150 2026-03-17 07:52 by laoshidan
[¿¼ÑÐ] ¶«ÄÏ´óѧ364Çóµ÷¼Á +5 JasonYuiui 2026-03-15 5/250 2026-03-16 21:28 by ľ¹Ï¸à
[¿¼ÑÐ] 304Çóµ÷¼Á +3 ÂüÊâ2266 2026-03-14 3/150 2026-03-16 16:39 by houyaoxu
[¿¼ÑÐ] 277²ÄÁÏ¿ÆÑ§Ó빤³Ì080500Çóµ÷¼Á +3 ×ÔÓɼå±ý¹û×Ó 2026-03-16 3/150 2026-03-16 14:10 by ÔËÆøyunqi
[¿¼ÑÐ] 0703 ÎïÀí»¯Ñ§µ÷¼Á +3 ÎÒ¿ÉÒÔÉϰ¶µÄ¶Ô 2026-03-13 5/250 2026-03-16 10:50 by ÎÒ¿ÉÒÔÉϰ¶µÄ¶ÔÂ
[¿¼ÑÐ] 26¿¼ÑÐÒ»Ö¾Ô¸ÖйúʯÓÍ´óѧ(»ª¶«)305·ÖÇóµ÷¼Á +3 ¼ÎÄêÐÂ³Ì 2026-03-15 3/150 2026-03-15 13:58 by ¹þ¹þ¹þ¹þºÙºÙºÙ
[¿¼ÑÐ] 265Çóµ÷¼Á +4 Íþ»¯±ý07 2026-03-12 4/200 2026-03-14 17:23 by userper
[¿¼ÑÐ] Ò»Ö¾Ô¸¹þ¹¤´ó²ÄÁÏ324·ÖÇóµ÷¼Á +5 ãÆÐñ¶« 2026-03-14 5/250 2026-03-14 14:53 by ľ¹Ï¸à
[¿¼ÑÐ] 308 085701 ËÄÁù¼¶ÒѹýÇóµ÷¼Á +7 ÎÂÇÇÇÇÇÇÇÇ 2026-03-12 14/700 2026-03-14 10:49 by JourneyLucky
[¿¼ÑÐ] ²ÄÁÏÓ뻯¹¤Çóµ÷¼ÁÒ»Ö¾Ô¸ 985 ×Ü·Ö 295 +8 dream¡­¡­ 2026-03-12 8/400 2026-03-13 22:17 by ÐÇ¿ÕÐÇÔÂ
[¿¼ÑÐ] 295Çóµ÷¼Á +3 Сذ×ÐÖ­ 2026-03-12 3/150 2026-03-13 15:17 by vgtyfty
[¿¼ÑÐ] 274Çóµ÷¼Á +3 S.H1 2026-03-12 3/150 2026-03-13 15:15 by JourneyLucky
[¿¼ÑÐ] ²ÄÁÏ301·ÖÇóµ÷¼Á +5 Liyouyumairs 2026-03-12 5/250 2026-03-13 14:42 by JourneyLucky
[¿¼²©] 26¶Á²© +4 Rui135246 2026-03-12 10/500 2026-03-13 07:15 by gaobiao
ÐÅÏ¢Ìáʾ
ÇëÌî´¦ÀíÒâ¼û