| 查看: 2971 | 回复: 0 | |
lorna639木虫 (著名写手)
|
[求助]
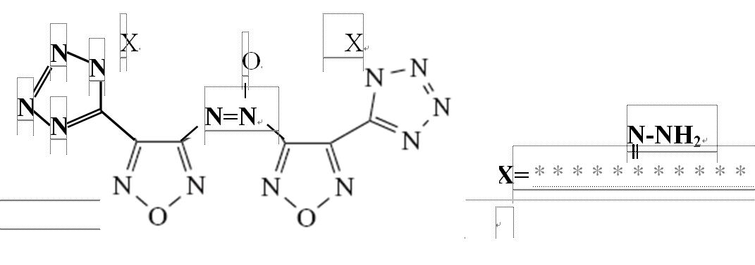
请帮忙看一下输入文件该如何表示电荷的正负以及Gaussview如何画盐类化合物
|
|
|
|
|
找到一些相关的精华帖子,希望有用哦~
科研从小木虫开始,人人为我,我为人人
|













回复此楼

点击这里搜索更多相关资源