| 查看: 328 | 回复: 2 | |
lilonglong金虫 (小有名气)
|
[求助]
统计 概率
|
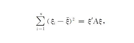
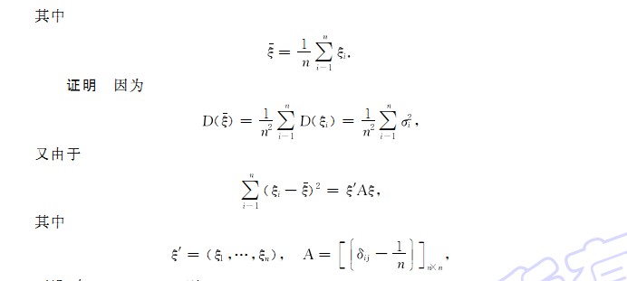
![]() |
|
|
|
|
|
2楼2011-10-10 01:03:40
|
|
math2000铁杆木虫 (职业作家)
|
|
|
3楼2011-10-19 17:50:03
|
|













回复此楼