±±¾©Ê¯ÓÍ»¯¹¤Ñ§Ôº2026ÄêÑо¿ÉúÕÐÉú½ÓÊÕµ÷¼Á¹«¸æ
²é¿´: 1082  |  »Ø¸´: 5
±¾Ìû²úÉú 1 ¸ö ²©Ñ§EPI £¬µã»÷ÕâÀï½øÐв鿴

Aqiong

Òø³æ (СÓÐÃûÆø)

[ÇóÖú] »¹Ô­ºóÔõÑù³ýÈ¥¼×Ëáï§

С³æÓÃîÙ̼ºÍ¼×Ëáï§»¹Ô­Ïõ»ùºó£¬²»ÖªµÀÔõÑù³ýÈ¥¼×Ëáï§£¿Çó¸ßÊÖ°ï°ïæ°¡/

» ²ÂÄãϲ»¶

» ±¾Ö÷ÌâÏà¹Ø¼ÛÖµÌùÍÆ¼ö£¬¶ÔÄúͬÑùÓаïÖú:

Joan
ÒÑÔÄ   ¹Ø×¢TA ¸øTA·¢ÏûÏ¢ ËÍTAºì»¨ TAµÄ»ØÌû

ÒÔºÍΪ¹ó

ÖÁ×ðľ³æ (ÖøÃûдÊÖ)

¡¾´ð°¸¡¿Ó¦Öú»ØÌû

Aqiong(½ð±Ò+2, ²©Ñ§EPI+1): 2011-10-13 11:56:27
Aqiong(½ð±Ò+2): 2011-10-13 11:56:27
Ò»¡¢¼×Ëáï§Ò׷ֽ⣻
¶þ¡¢¼×Ëáï§ÈÜÓÚË®

[ ·¢×ÔÊÖ»ú°æ https://muchong.com/3g ]
Æ´²«
2Â¥2011-10-09 09:19:04
ÒÑÔÄ   ¹Ø×¢TA ¸øTA·¢ÏûÏ¢ ËÍTAºì»¨ TAµÄ»ØÌû

Aqiong

Òø³æ (СÓÐÃûÆø)

ÒýÓûØÌû:
2Â¥: Originally posted by ÒÔºÍΪ¹ó at 2011-10-09 09:19:04:
Ò»¡¢¼×Ëáï§Ò׷ֽ⣻
¶þ¡¢¼×Ëáï§ÈÜÓÚË®
[ ·¢×ÔÊÖ»ú°æ https://muchong.com/3g ]

ÎҵIJúÎïÒ²Ò×ÈÜÓÚË®£¬¼×´¼¡£ËùÒÔ²»ÖªÔõô·ÖÀë? ¹òÇó¸ßÊÖÖ¸µã°¡£¡£¡
Joan
3Â¥2011-10-09 10:55:59
ÒÑÔÄ   ¹Ø×¢TA ¸øTA·¢ÏûÏ¢ ËÍTAºì»¨ TAµÄ»ØÌû

ÒÔºÍΪ¹ó

ÖÁ×ðľ³æ (ÖøÃûдÊÖ)

¡¾´ð°¸¡¿Ó¦Öú»ØÌû

Ö÷²úÎïÊÇɶ£¬ÈÈÎȶ¨ÐÔÈçºÎ£¿

[ ·¢×ÔÊÖ»ú°æ https://muchong.com/3g ]
Æ´²«
4Â¥2011-10-09 12:48:37
ÒÑÔÄ   ¹Ø×¢TA ¸øTA·¢ÏûÏ¢ ËÍTAºì»¨ TAµÄ»ØÌû

Aqiong

Òø³æ (СÓÐÃûÆø)

ÒýÓûØÌû:
4Â¥: Originally posted by ÒÔºÍΪ¹ó at 2011-10-09 12:48:37:
Ö÷²úÎïÊÇɶ£¬ÈÈÎȶ¨ÐÔÈçºÎ£¿
[ ·¢×ÔÊÖ»ú°æ https://muchong.com/3g ]

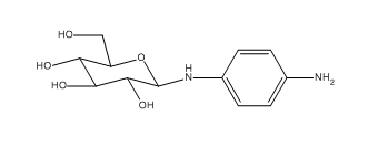
Ö÷²úÎïÊÇÕâ¸ö£¬ÓÃîÙ̼ºÍ¼×ËỹԭÏõ»ùµÃÀ´µÄ


Joan
5Â¥2011-10-09 15:07:18
ÒÑÔÄ   ¹Ø×¢TA ¸øTA·¢ÏûÏ¢ ËÍTAºì»¨ TAµÄ»ØÌû

Aqiong

Òø³æ (СÓÐÃûÆø)

ûÓеõ½ÀíÏë´ð°¸  ÇëÇó·µ»¹½ð±Ò
Joan
6Â¥2012-03-26 09:49:59
ÒÑÔÄ   ¹Ø×¢TA ¸øTA·¢ÏûÏ¢ ËÍTAºì»¨ TAµÄ»ØÌû
Ïà¹Ø°æ¿éÌø×ª ÎÒÒª¶©ÔÄÂ¥Ö÷ Aqiong µÄÖ÷Ìâ¸üÐÂ
×î¾ßÈËÆøÈÈÌûÍÆ¼ö [²é¿´È«²¿] ×÷Õß »Ø/¿´ ×îºó·¢±í
[¿¼ÑÐ] 085600£¬×¨Òµ¿Î»¯¹¤Ô­Àí£¬321·ÖÇóµ÷¼Á +6 ´ó²öС×Ó 2026-03-28 6/300 2026-04-03 22:38 by JimmyQAQ
[¿¼ÑÐ] Ò»Ö¾Ô¸Ö£ÖÝ´óѧ²ÄÁÏÓ뻯¹¤085600£¬Çóµ÷¼Á +17 ³ÔµÄ²»ÉÙ 2026-04-02 17/850 2026-04-03 21:48 by qlm5820
[¿¼ÑÐ] 081700»¯Ñ§¹¤³ÌÓë¼¼Êõ Ò»Ö¾Ô¸Öк£Ñó 323 Çóµ÷¼ÁѧУ +9 ÅûÐÇºÓ 2026-04-03 9/450 2026-04-03 21:41 by lbsjt
[¿¼ÑÐ] ±¾¿Æ985£¬×¨Òµ0812·Ö336Çóµ÷¼Á +4 ĪĪºÜÐÐ 2026-04-03 4/200 2026-04-03 21:31 by zhq0425
[¿¼ÑÐ] Çóµ÷¼Á²»Ìôרҵ +3 xrh030412 2026-04-01 3/150 2026-04-03 14:40 by µªÆøÆøÆø
[¿¼ÑÐ] µ÷¼ÁÇóÖú +8 Ïë»»ÊÖ»ú²»Ïë½âÊ 2026-04-02 11/550 2026-04-03 14:16 by ÐÇ¿ÕÐÇÔÂ
[¿¼ÑÐ] 085600ר˶²ÄÁÏÓ뻯¹¤348·ÖÇóµ÷¼Á +10 ÉÏѧÀ²£¡ 2026-04-01 11/550 2026-04-03 14:13 by °ÙÁéͯ888
[¿¼ÑÐ] 266·Ö£¬Ò»Ö¾Ô¸µçÆø¹¤³Ì£¬±¾¿Æ²ÄÁÏ£¬Çó²ÄÁÏרҵµ÷¼Á +9 ÍÛºôºßºôºß 2026-04-02 9/450 2026-04-03 12:05 by 1753564080
[¿¼ÑÐ] 279Çóµ÷¼Á +6 qazplm0852 2026-04-02 6/300 2026-04-03 10:03 by À¶ÔÆË¼Óê
[¿¼ÑÐ] Ò»Ö¾Ô¸aÇø211£¬085601-307·ÖÇóµ÷¼Á +13 µ³¼ÎºÀ 2026-03-31 26/1300 2026-04-03 08:33 by 495374996
[¿¼ÑÐ] 279Çóµ÷¼Á +5 ¸µÎÄÇï 2026-04-02 5/250 2026-04-02 18:10 by ±ÊÂä½õÖÝ
[¿¼ÑÐ] Ò»Ö¾Ô¸Ö£´ó²ÄÁϹ¤³Ì290Çóµ÷¼Á +20 Youth_ 2026-03-30 20/1000 2026-04-02 14:48 by 5896
[¿¼ÑÐ] 303·Ö 0807ѧ˶Çóµ÷¼Á +3 TYC3632 2026-04-01 3/150 2026-04-01 19:24 by lwk2004
[¿¼ÑÐ] Ò»Ö¾Ô¸»ªÄÏʦ·¶361·Ö£¬»¯Ñ§Çóµ÷¼Á +4 Nicole88888 2026-04-01 4/200 2026-04-01 10:08 by ÌÆãå¶ù
[¿¼ÑÐ] ¿¼ÑÐÉúÎïÓëÒ½Ò©µ÷¼Á +7 Ìúº©º©123425 2026-03-31 7/350 2026-04-01 08:45 by JourneyLucky
[¿¼ÑÐ] Çóµ÷¼Á£ºÒ»Ö¾Ô¸£ºÄϾ©´óѧ רҵ£º0705 ×Ü·Ö320 £¬±¾¿Æ985£¬ËÄÁù¼¶Òѹý +3 lfy760306 2026-03-31 3/150 2026-04-01 01:57 by Creta
[¿¼ÑÐ] 080200ѧ˶£¬»úе¹¤³Ìרҵ277·Ö£¬Çó´ø×ߣ¡ +4 Æ¿×ÓPZ 2026-03-31 4/200 2026-03-31 20:16 by vgtyfty
[¿¼ÑÐ] 085601Ò»Ö¾Ô¸Î÷±±¹¤Òµ´óѧ³õÊÔ346 +4 085601³õÊÔ346 2026-03-30 4/200 2026-03-31 07:47 by jp9609
[¿¼ÑÐ] 085701Çóµ÷¼Á³õÊÔ286·Ö +5 secret0328 2026-03-28 5/250 2026-03-30 12:54 by fangnagu
[¿¼ÑÐ] Ò»Ö¾Ô¸ÄϾ©º½¿Õº½Ìì´óѧ²ÄÁÏѧ˶Çóµ÷¼Á +3 @taotao 2026-03-28 3/150 2026-03-28 10:26 by JourneyLucky
ÐÅÏ¢Ìáʾ
ÇëÌî´¦ÀíÒâ¼û