| 查看: 277 | 回复: 1 | |
| 本帖产生 1 个 博学EPI ,点击这里进行查看 | |
hunter2010铁杆木虫 (著名写手)
|
[求助]
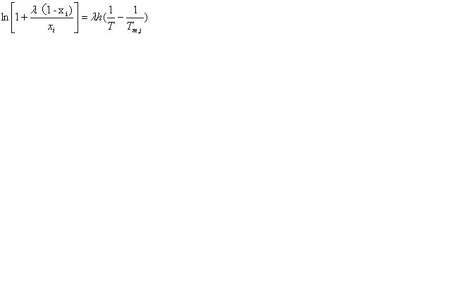
曲线拟合问题
|
|
|
|
![]() |
|
|
2楼2011-09-26 07:55:01
|
|













回复此楼
