| 查看: 755 | 回复: 1 | ||
[求助]
有人知道隧穿电导表达式吗
|
|
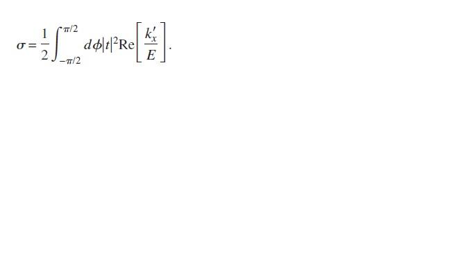
我记得隧穿电导表达式是 |t|^2----t的绝对值的平方然后对入射动量求和但是为什么有些文献中在他的后面还有个k/E呢?k是透射端的动量E是费米能量.谁知道啊?能解决的有偿服务也行 啊 这个公式对谁见过啊? 有偿劳动 [ Last edited by 田山东 on 2011-9-7 at 21:21 ] |
» 猜你喜欢
288求调剂 一志愿哈工大 材料与化工
已经有10人回复
调剂0855-288
已经有5人回复
电子信息调剂交叉学科有推荐吗
已经有6人回复
266求调剂
已经有6人回复
材料科学与工程考研
已经有10人回复
283分材料与化工求调剂
已经有29人回复
一志愿哈尔滨工业大学085600英一数二337分求调剂
已经有4人回复
材料调剂
已经有11人回复
268求调剂
已经有8人回复
085600材料与化工调剂
已经有23人回复
» 本主题相关价值贴推荐,对您同样有帮助:
如何提高铝合金的电导率
已经有12人回复
想问问大家 测配合物的电导率 有什么用途 或者说目的是什么 谢谢
已经有2人回复
采用PBS脚本第一次提交任务,算了1步就被杀死,有错误提示但不知道原因?
已经有19人回复
有人用Kubo公式算电导做过数值计算吗?
已经有3人回复
四方格子的电导公式
已经有4人回复
如何用VTF方程拟合电导率与温度曲线
已经有8人回复
写出VTF和arrhenuis的电导率公式,并解释
已经有2人回复
【求助】有人知道LiFePO4/C的电导率大概是多少吗?
已经有9人回复
【讨论】有没有人测定过碳包覆后的LFP的电导率啊
已经有3人回复
请问粉体的电阻率 或电导率这么测量?
已经有10人回复
急求上海理达仪器厂生产的DDS-12A型电导率仪的使用方法
已经有2人回复


2楼2011-09-07 21:23:16














回复此楼