| 查看: 653 | 回复: 2 | ||
| 本帖产生 1 个 翻译EPI ,点击这里进行查看 | ||
[求助]
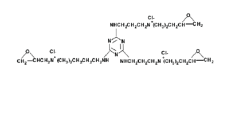
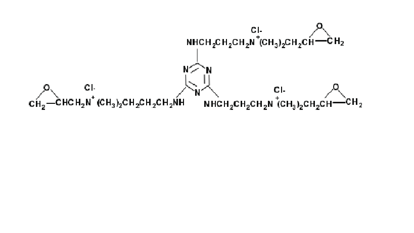
求一种药品名翻译
|
||
|
|
||
gzrhubu木虫 (正式写手)
|
【答案】应助回帖
★ ★ ★ ★ ★ ★ ★
sltmac(金币+2): 感谢应助~ 2011-09-07 19:06:29 爱与雨下(金币+5): bb代发 2011-09-13 12:04:44
|
|
|
2楼2011-09-07 18:49:20
|
|
|
jwdxbjzh至尊木虫 (职业作家)
|
【答案】应助回帖
★ ★ ★ ★ ★ ★
xiecheng(金币+5, 翻译EPI+1): 出入还是有些的,谢谢 2011-09-08 09:45:34 8814402: 2011-09-09 19:00:49 8814402(金币+1): 感谢应助 2011-09-09 19:01:19 爱与雨下(金币+5): bb代发 2011-09-13 12:04:55
|
|
![]() |
||
|
3楼2011-09-07 19:48:40
|
|
|














回复此楼
