| 查看: 830 | 回复: 5 | |||
[求助]
交流阻抗值
|
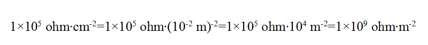
| 请教阻抗值的单位是什么,有的文献中用的是ohm.cm2,有的用的是ohm.m2,有的数量级在10的9次方,我测的却只有10的5次方,怎么差这么多? |
» 收录本帖的淘帖专辑推荐
我的专辑 |
» 猜你喜欢
Ni元素XPS分析
已经有1人回复
广东以色列理工材料系能源与电子材料课题组——博士(以色列理工学位)
已经有3人回复
分析化学论文润色/翻译怎么收费?
已经有200人回复
青岛大学化学化工学院分子测量学研究院2026年招收博士研究生
已经有0人回复
求一份origin2019以上版本的origin软件压缩包
已经有1人回复
电化学基础知识与资源网站
已经有3人回复
中国科大电池方向任晓迪课题组招收2026级博士生-电解液/电池安全性/人工智能方向
已经有19人回复
26年秋季博士申请
已经有0人回复
推荐给英语教学者的一本单词书《金鱼单词讲义:从26个拉丁字母到106万个英语单词》
已经有48人回复
推荐给教师的一本单词书《金鱼单词讲义:从26个拉丁字母到106万个英语单词》
已经有24人回复
544459372
金虫 (小有名气)
- 应助: 1 (幼儿园)
- 金币: 820.3
- 帖子: 100
- 在线: 46.5小时
- 虫号: 1342436
- 注册: 2011-07-11
- 性别: MM
- 专业: 环境污染化学
2楼2011-09-02 21:02:31
LLNN2010
金虫 (初入文坛)
- 应助: 0 (幼儿园)
- 金币: 380.7
- 散金: 160
- 帖子: 40
- 在线: 13.6小时
- 虫号: 1098148
- 注册: 2010-09-14
- 性别: GG
- 专业: 电化学
3楼2011-09-02 21:13:10
4楼2011-09-03 08:44:15
5楼2011-09-03 08:44:37
LLNN2010
金虫 (初入文坛)
- 应助: 0 (幼儿园)
- 金币: 380.7
- 散金: 160
- 帖子: 40
- 在线: 13.6小时
- 虫号: 1098148
- 注册: 2010-09-14
- 性别: GG
- 专业: 电化学
6楼2011-09-03 09:16:32













回复此楼