| 查看: 689 | 回复: 6 | ||
| 本帖产生 1 个 博学EPI ,点击这里进行查看 | ||
cookle502金虫 (初入文坛)
|
[求助]
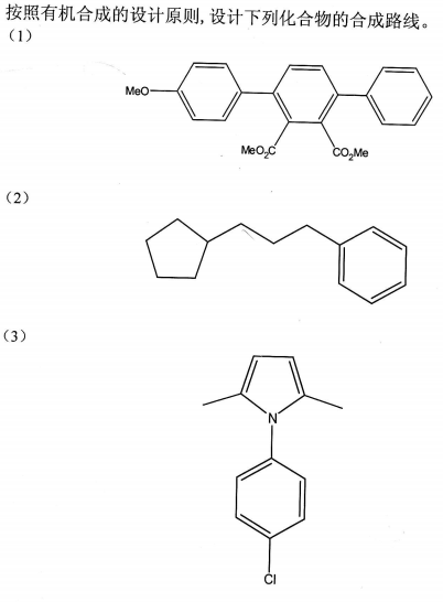
有机合成题
|
|
|
|
||
cao.xianxian铁虫 (小有名气)
|
||
|
2楼2011-09-05 13:00:47
|
|
|
cao.xianxian铁虫 (小有名气)
|
【答案】应助回帖
cookle502(金币+5): 2011-09-05 14:56:31
|
|
|
3楼2011-09-05 13:02:01
|
|
|
cao.xianxian铁虫 (小有名气)
|
||
|
4楼2011-09-05 13:02:35
|
|
|
|
5楼2012-01-15 17:14:31
|
|
|
|
6楼2012-01-19 12:54:05
|
|
|
以和为贵至尊木虫 (著名写手)
|
||
![]() |
||
|
7楼2012-01-22 14:02:38
|
|
|














回复此楼
