| 查看: 3988 | 回复: 10 | ||
| 当前只显示满足指定条件的回帖,点击这里查看本话题的所有回帖 | ||
v707木虫 (小有名气)
|
[求助]
怎么用居里外斯定律表征压电陶瓷弥散相变程度?
|
|
|
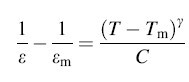
看到文献里面用居里外斯定律算弛豫铁电体的弥散程度。介电常数倒数之差对数,跟温度倒数之差取对数,拟合出的曲线,然后得出,r值这个参数表征驰豫程度,那请问公式中的c也就是居里常数,怎么得出来,只有知道c值才能求出r只吧?或者r值怎么求出来? [ Last edited by v707 on 2011-8-31 at 15:12 ] |
» 猜你喜欢
285求调剂
已经有6人回复
085701环境工程求调剂
已经有6人回复
291求调剂
已经有6人回复
315分求调剂
已经有6人回复
277跪求调剂
已经有8人回复
295求调剂
已经有5人回复
295材料工程专硕求调剂
已经有3人回复
083000学硕274求调剂
已经有4人回复
275求调剂
已经有8人回复
一志愿211院校 344分 东北农业大学生物学学硕,求调剂
已经有8人回复
11楼2018-06-04 23:11:38
samsara20071214
铁杆木虫 (正式写手)
- 应助: 5 (幼儿园)
- 金币: 7562.4
- 散金: 58
- 红花: 4
- 帖子: 955
- 在线: 71.6小时
- 虫号: 511298
- 注册: 2008-02-25
- 性别: GG
- 专业: 功能陶瓷

2楼2011-09-01 09:29:53
v707
木虫 (小有名气)
- 应助: 0 (幼儿园)
- 金币: 4053.9
- 散金: 170
- 红花: 1
- 帖子: 187
- 在线: 111.7小时
- 虫号: 791966
- 注册: 2009-06-11
- 性别: GG
- 专业: 金属结构材料
3楼2011-09-01 13:19:45
deadleaf
木虫 (正式写手)
- 应助: 0 (幼儿园)
- 金币: 5876.9
- 散金: 866
- 红花: 3
- 帖子: 370
- 在线: 110.7小时
- 虫号: 609420
- 注册: 2008-09-22
- 专业: 功能陶瓷
4楼2011-09-01 14:12:08














回复此楼
v707
这个材料不一样,常数也不一样啊。你知道这个r怎么算吗,是不是就是曲线的斜率