| 查看: 596 | 回复: 5 | ||
| 本帖产生 1 个 博学EPI ,点击这里进行查看 | ||
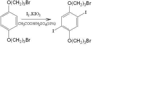
[求助]
碘代反应
|
||
|
做实验的时候怎么发现这个反应好像没进行,因为跑板的时候发现好像还是原来的1,4-二(3-丙氧基溴)苯,是不是因为1,4-二(3-丙氧基溴)苯不溶于CH3COOH/H2SO4(10%),所以反应才没有发生呢? |
» 猜你喜欢
售SCI一区文章,我:8 O5 51O 54,科目齐全,可+急
已经有6人回复
售SCI一区文章,我:8 O5 51O 54,科目齐全,可+急
已经有6人回复
售SCI一区文章,我:8 O5 51O 54,科目齐全,可+急
已经有11人回复
售SCI一区文章,我:8 O5 51O 54,科目齐全,可+急
已经有9人回复
球磨粉体时遇到了大的问题,请指教!
已经有14人回复
售SCI一区文章,我:8 O5 51O 54,科目齐全,可+急
已经有4人回复
售SCI一区文章,我:8 O5 51O 54,科目齐全,可+急
已经有4人回复
情人节自我反思:在爱情中有过遗憾吗?
已经有5人回复
售SCI一区文章,我:8 O5 51O 54,科目齐全,可+急
已经有6人回复
江汉大学解明教授课题组招博士研究生/博士后
已经有3人回复
tyhjqxbz
主管区长 (文坛精英)
- 博学EPI: 178
- 应助: 220 (大学生)
- 贵宾: 31.322
- 金币: 140749
- 散金: 60553
- 红花: 884
- 沙发: 1020
- 帖子: 32994
- 在线: 3441.8小时
- 虫号: 782124
- 注册: 2009-05-29
- 专业: 能源化工
- 管辖: 注册执考区

2楼2011-08-31 16:21:16
3楼2011-08-31 19:13:09
tyhjqxbz
主管区长 (文坛精英)
- 博学EPI: 178
- 应助: 220 (大学生)
- 贵宾: 31.322
- 金币: 140749
- 散金: 60553
- 红花: 884
- 沙发: 1020
- 帖子: 32994
- 在线: 3441.8小时
- 虫号: 782124
- 注册: 2009-05-29
- 专业: 能源化工
- 管辖: 注册执考区

4楼2011-08-31 20:03:36

5楼2011-08-31 21:31:57
soyjek1
木虫 (小有名气)
- 应助: 0 (幼儿园)
- 金币: 1932.7
- 散金: 1
- 红花: 2
- 帖子: 81
- 在线: 142.1小时
- 虫号: 1011239
- 注册: 2010-05-04
- 性别: GG
- 专业: 有机合成
6楼2011-09-01 10:51:21













回复此楼