| 查看: 299 | 回复: 2 | ||
[求助]
求助数学一小问
|
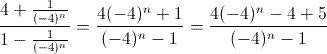
| bn=[4+(-1/4)^n]/[1-(-1/4)^n] 怎么化解为bn=4+5/[(-4)^n-1] |
» 猜你喜欢
071000生物学求调剂,初试成绩343
已经有7人回复
0703化学调剂,求导师收
已经有8人回复
0856材料化工调剂 总分330
已经有11人回复
本科新能源科学与工程,一志愿华理能动285求调剂
已经有9人回复
332求调剂
已经有4人回复
085600,专业课化工原理,321分求调剂
已经有3人回复
材料工程294求调剂
已经有3人回复
295材料工程专硕求调剂
已经有7人回复
305求调剂
已经有5人回复
食品工程专硕一志愿中海洋309求调剂
已经有8人回复
xxppyy
木虫 (小有名气)
- 数学EPI: 1
- 应助: 3 (幼儿园)
- 金币: 2855.4
- 散金: 16
- 红花: 4
- 帖子: 243
- 在线: 348.3小时
- 虫号: 19703
- 注册: 2003-07-17
2楼2011-08-25 20:37:21
3楼2011-08-26 13:46:55














回复此楼