| 查看: 211 | 回复: 0 | |
夏末未至0609银虫 (初入文坛)
|
[求助]
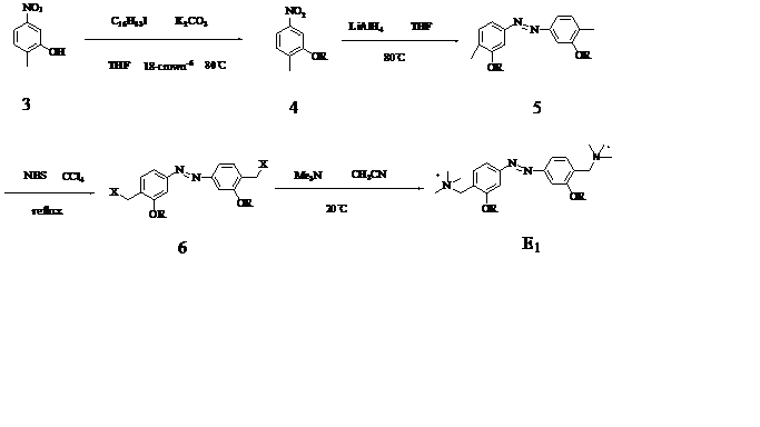
是否有人合成过联接链含偶氮苯的季铵盐gemini表面活性剂
|
|
|
| 1 | 1/1 | 返回列表 |
| 查看: 211 | 回复: 0 | |
夏末未至0609银虫 (初入文坛)
|
[求助]
是否有人合成过联接链含偶氮苯的季铵盐gemini表面活性剂
|
|
|
| 1 | 1/1 | 返回列表 |