版块导航
正在加载中...
客户端APP下载
论文辅导
调剂小程序
登录
注册
帖子
帖子
用户
本版
应《网络安全法》要求,自2017年10月1日起,未进行实名认证将不得使用互联网跟帖服务。为保障您的帐号能够正常使用,请尽快对帐号进行手机号验证,感谢您的理解与支持!
24小时热门版块排行榜
>
论坛更新日志
(836)
>
虫友互识
(81)
>
论文投稿
(27)
>
考博
(20)
>
公派出国
(18)
>
硕博家园
(15)
>
找工作
(15)
>
休闲灌水
(15)
>
导师招生
(13)
>
教师之家
(13)
>
博后之家
(12)
>
基金申请
(12)
>
考研
(12)
>
论文道贺祈福
(9)
>
文献求助
(5)
>
招聘信息布告栏
(3)
小木虫论坛-学术科研互动平台
»
生物医药区
»
药学
»
天然药物化学
»
求助 α-菠甾醇-3-0-β-D-葡萄糖甙 结构
3
1/1
返回列表
查看: 224 | 回复: 2
只看楼主
@他人
存档
新回复提醒
(忽略)
收藏
在APP中查看
jrbin
木虫
(小有名气)
应助: 0
(幼儿园)
金币: 1509
散金: 16
红花: 1
帖子: 120
在线: 52.6小时
虫号: 757005
注册: 2009-04-25
性别: GG
专业: 天然有机化学
[
求助
]
求助 α-菠甾醇-3-0-β-D-葡萄糖甙 结构
求助 α-菠甾醇-3-0-β-D-葡萄糖甙 结构 急急急!!!
回复此楼
» 猜你喜欢
依托企业入选了国家启明计划青年人才。有无高校可以引进的。
已经有14人回复
表哥与省会女结婚,父母去帮带孩子被省会女气回家生重病了
已经有11人回复
江汉大学解明教授课题组招博士研究生/博士后
已经有3人回复
AI 太可怕了,写基金时,提出想法,直接生成的文字比自己想得深远,还有科学性
已经有11人回复
同年申请2项不同项目,第1个项目里不写第2个项目的信息,可以吗
已经有10人回复
依托企业入选了国家启明计划青年人才。有无高校可以引进的。
已经有11人回复
» 本主题相关价值贴推荐,对您同样有帮助:
求助高人,一个审稿人给了这样的意见,应该怎么回复啊,说我试验采用单一方法
已经有10人回复
求助DCC缩合反应
已经有23人回复
优化算法方向论文SCI投稿求助
已经有29人回复
求助解释下Koutecky-Levich方程中的电流都有什么物理意义~小弟最近一直不解
已经有3人回复
翻译求助
已经有2人回复
谁做过有机硅树脂与SiO2溶胶的共混实验?两种物质混合能否制成互穿网络结构?
已经有6人回复
求助,如何能够获得县域的逐月的降雨数据。望请各位指条明路
已经有22人回复
求助高手,镜检(革兰氏染色),阳性肠球菌总是出现假阴性
已经有4人回复
关于蓝宝石晶体生长过程中的散射中心以及镶嵌结构的消除
已经有20人回复
投分析科学学报求助,急急急!!!谢谢大家了
已经有4人回复
GPC(凝胶渗透色谱)谱图求助
已经有9人回复
求助解析一化合物的H谱C谱,附上图谱
已经有13人回复
黄麻属所有(已知)植物的名称。
已经有6人回复
1楼
2011-07-20 13:49:17
已阅
回复此楼
关注TA
给TA发消息
送TA红花
TA的回帖
snowrabbit
铁杆木虫
(小有名气)
应助: 8
(幼儿园)
金币: 7689.6
红花: 2
帖子: 131
在线: 135.6小时
虫号: 600105
注册: 2008-09-12
专业: 有机化学
【答案】应助回帖
★
jiangchunyong(金币+1): 谢谢 2011-07-20 17:30:25
jrbin(金币+1): 不好意思,我查了一下,没有 2011-07-24 10:08:25
百灵威网站查询CAS 481-18-5 是 α-菠甾醇,然后可以根据命名连接葡萄糖吧
赞
一下
(1人)
回复此楼
2楼
2011-07-20 15:22:34
已阅
回复此楼
关注TA
给TA发消息
送TA红花
TA的回帖
小鱼儿218
铁杆木虫
(著名写手)
应助: 0
(幼儿园)
金币: 8214.1
红花: 1
沙发: 1
帖子: 1019
在线: 213.5小时
虫号: 440077
注册: 2007-10-26
性别: GG
专业: 天然有机化学
【答案】应助回帖
★
qinhy(金币+1): 谢谢应助回帖~ 2011-07-24 09:21:09
jrbin(金币+19): 谢谢 2011-07-24 10:08:35
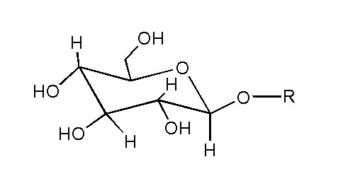
如图:将R用α-菠甾醇取代就可以啦。
赞
一下
(1人)
回复此楼
非淡泊无以明志,非宁静无以致。
3楼
2011-07-23 11:01:30
已阅
回复此楼
关注TA
给TA发消息
送TA红花
TA的回帖
相关版块跳转
新药研发
药学
药品生产
分子生物
微生物
动植物
生物科学
医学
我要订阅楼主
jrbin
的主题更新
3
1/1
返回列表
如果回帖内容含有宣传信息,请如实选中。否则帐号将被全论坛禁言
普通表情
龙
兔
虎
猫
百度网盘
|
360云盘
|
千易网盘
|
华为网盘
在新窗口页面中打开自己喜欢的网盘网站,将文件上传后,然后将下载链接复制到帖子内容中就可以了。
信息提示
关闭
请填处理意见
关闭
确定