版块导航
正在加载中...
客户端APP下载
论文辅导
调剂小程序
登录
注册
帖子
帖子
用户
本版
应《网络安全法》要求,自2017年10月1日起,未进行实名认证将不得使用互联网跟帖服务。为保障您的帐号能够正常使用,请尽快对帐号进行手机号验证,感谢您的理解与支持!
24小时热门版块排行榜
>
论坛更新日志
(3282)
>
虫友互识
(399)
>
文献求助
(292)
>
导师招生
(148)
>
硕博家园
(120)
>
考博
(78)
>
论文道贺祈福
(74)
>
博后之家
(62)
>
招聘信息布告栏
(50)
>
考研
(48)
>
休闲灌水
(44)
>
论文投稿
(40)
>
基金申请
(38)
>
教师之家
(38)
>
绿色求助(高悬赏)
(37)
>
找工作
(33)
小木虫论坛-学术科研互动平台
»
专业学科区
»
数学
»
基础数学
»
要做个presentation,有个公式不知道怎么读
4
1/1
返回列表
查看: 1281 | 回复: 3
只看楼主
@他人
存档
新回复提醒
(忽略)
收藏
在APP中查看
ghw_nit
铁杆木虫
(正式写手)
应助: 14
(小学生)
金币: 7901.9
散金: 147
红花: 6
帖子: 653
在线: 175.8小时
虫号: 774851
注册: 2009-05-20
性别: GG
专业: 控制理论与方法
[
求助
]
要做个presentation,有个公式不知道怎么读
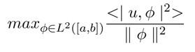
要做个presentation,这个公式不知道怎么读
有知道的给我写一下
回复此楼
» 猜你喜欢
依托企业入选了国家启明计划青年人才。有无高校可以引进的。
已经有7人回复
遇见不省心的家人很难过
已经有24人回复
博士延得我,科研能力直往上蹿
已经有9人回复
天津大学招2026.09的博士生,欢迎大家推荐交流(博导是本人)
已经有6人回复
AI 太可怕了,写基金时,提出想法,直接生成的文字比自己想得深远,还有科学性
已经有6人回复
有院领导为了换新车,用横向课题经费买了俩车
已经有9人回复
酰胺脱乙酰基
已经有13人回复
同年申请2项不同项目,第1个项目里不写第2个项目的信息,可以吗
已经有4人回复
有时候真觉得大城市人没有县城人甚至个体户幸福
已经有10人回复
» 本主题相关价值贴推荐,对您同样有帮助:
非高校申请公派读博,所有申请纸质材料要盖骑缝章吗?
已经有5人回复
高手教你怎么做Poster Presentation
已经有352人回复
skype怎么做PPT presentation呢
已经有11人回复
今晚要做个presentation
已经有9人回复
两次面试后,最后一次personal interview要求做个简短的presentation
已经有10人回复
请问6月初到美国开会,已经收到录用及oral presentation通知,现在需要做哪些工作呢?
已经有10人回复
电话面试,要做presentation,注意些什么?
已经有6人回复
【求助】考虑出国读博,不知道需要做些什么准备工作
已经有14人回复
投美国会议的一个会议,去不了做presentation,怎么办
已经有4人回复
1楼
2011-07-16 16:35:01
已阅
回复此楼
关注TA
给TA发消息
送TA红花
TA的回帖
sskkyy
银虫
(正式写手)
数学EPI: 1
应助: 180
(高中生)
金币: 1016.9
散金: 376
红花: 18
帖子: 742
在线: 245.1小时
虫号: 1324155
注册: 2011-06-16
专业: 拓扑学
【答案】应助回帖
ghw_nit(金币+5): 谢谢 2011-07-17 11:41:27
中文:u和phi内积的平方除以phi长度平方,在区间[a,b]平方可积函数的极大值。
英文:The maximum value of the square of inner product of u and phi over the square of length of phi. The maximum value is taken over all square integrable functions over the inverval of [a,b].
赞
一下
回复此楼
2楼
2011-07-17 11:19:32
已阅
回复此楼
关注TA
给TA发消息
送TA红花
TA的回帖
saladin983
铁杆木虫
(正式写手)
数学EPI: 4
应助: 6
(幼儿园)
贵宾: 0.2
金币: 9197.9
红花: 3
帖子: 687
在线: 115.7小时
虫号: 448168
注册: 2007-11-01
专业: 计算数学与科学工程计算
分子里绝对值和平方在内积符号之内,看起来很是诡异。
赞
一下
回复此楼
3楼
2011-07-19 05:49:35
已阅
回复此楼
关注TA
给TA发消息
送TA红花
TA的回帖
lrs2008
木虫
(正式写手)
观天
应助: 7
(幼儿园)
金币: 3457.1
散金: 5505
红花: 13
帖子: 424
在线: 251.9小时
虫号: 746075
注册: 2009-04-11
性别: GG
专业: 计算机应用技术
麻烦不一定读出来...
赞
一下
回复此楼
残
4楼
2011-08-13 19:07:39
已阅
回复此楼
关注TA
给TA发消息
送TA红花
TA的回帖
相关版块跳转
数理科学综合
机械
物理
数学
农林
食品
地学
能源
信息科学
土木建筑
航空航天
转基因
我要订阅楼主
ghw_nit
的主题更新
4
1/1
返回列表
如果回帖内容含有宣传信息,请如实选中。否则帐号将被全论坛禁言
普通表情
龙
兔
虎
猫
百度网盘
|
360云盘
|
千易网盘
|
华为网盘
在新窗口页面中打开自己喜欢的网盘网站,将文件上传后,然后将下载链接复制到帖子内容中就可以了。
信息提示
关闭
请填处理意见
关闭
确定