| 查看: 316 | 回复: 0 | |||
[交流]
求体积问题的符号解
|
|
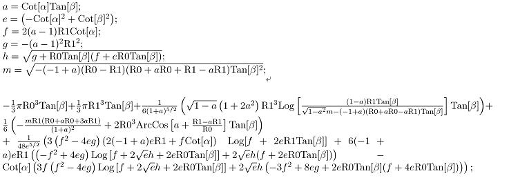
由于不知道在回帖中如何贴图,只好另开一贴。下面是“再次重金求体积问题”的符号解。经过数值验证,应该是正确的。但是只考虑了一种情况,即蓝色线交于下底右侧的情况(交于左侧的情况没有本质的不同,这里没有计算)。 注:上式中的alpha即问题中的phi [ Last edited by aloft on 2011-7-9 at 23:43 ] |
» 猜你喜欢
071000生物学求调剂,初试成绩343
已经有7人回复
0703化学调剂,求导师收
已经有8人回复
0856材料化工调剂 总分330
已经有11人回复
本科新能源科学与工程,一志愿华理能动285求调剂
已经有9人回复
332求调剂
已经有4人回复
085600,专业课化工原理,321分求调剂
已经有3人回复
材料工程294求调剂
已经有3人回复
295材料工程专硕求调剂
已经有7人回复
305求调剂
已经有5人回复
食品工程专硕一志愿中海洋309求调剂
已经有8人回复















回复此楼