版块导航
正在加载中...
客户端APP下载
论文辅导
申博辅导
登录
注册
帖子
帖子
用户
本版
应《网络安全法》要求,自2017年10月1日起,未进行实名认证将不得使用互联网跟帖服务。为保障您的帐号能够正常使用,请尽快对帐号进行手机号验证,感谢您的理解与支持!
24小时热门版块排行榜
>
论坛更新日志
(560)
>
虫友互识
(61)
>
休闲灌水
(9)
>
考博
(8)
>
导师招生
(7)
>
分子模拟
(6)
>
硕博家园
(6)
>
考研
(6)
>
基金申请
(5)
>
论文投稿
(5)
>
公派出国
(4)
>
博后之家
(3)
>
招聘信息布告栏
(2)
>
教师之家
(2)
>
催化
(2)
>
数理科学综合
(1)
小木虫论坛-学术科研互动平台
»
材料区
»
微米和纳米
»
学术讨论
»
微波吸收的数据处理
5
1/1
返回列表
查看: 1079 | 回复: 4
只看楼主
@他人
存档
新回复提醒
(忽略)
收藏
在APP中查看
香雪海8546
铁杆木虫
(著名写手)
应助: 30
(小学生)
金币: 7074.8
散金: 66
红花: 8
帖子: 2444
在线: 426.3小时
虫号: 861859
注册: 2009-10-02
性别: GG
专业: 特殊与极端环境下的高分子
[
求助
]
微波吸收的数据处理
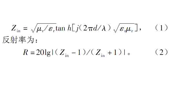
我测试了材料的磁导率; 介电常数;以及频率,但不知道怎样计算出它的反射率,我也找到了一个公式,但觉得不可能一个个计算工作量太大了,有没有专门的软件处理数据呢,谢谢!
回复此楼
» 猜你喜欢
请问对标matlab的开源软件octave的网站https://octave.org为什么打不开?
已经有1人回复
求助两种BiOBr晶体的CIF文件(卡片号为JCPDS 09-0393与JCPDS 01-1004 )
已经有0人回复
无机化学论文润色/翻译怎么收费?
已经有98人回复
哈尔滨工程大学材化学院国家级青年人才-26年硕士招生
已经有0人回复
求助Fe-TCPP、Zn-TCPP的CIF文件,或者CCDC号
已经有0人回复
河北大学-26年秋季入学申请考核制-化学博士1名
已经有0人回复
XPS/?λXPS
已经有0人回复
» 本主题相关商家推荐:
(我也要在这里推广)
» 本主题相关价值贴推荐,对您同样有帮助:
钡铁氧体的复磁导率复介电常数出现尖锐的怎么解释
已经有15人回复
微波消解仪与石墨消解仪
已经有4人回复
审稿人的话是什么意思?
已经有11人回复
关于粉体紫外可见吸收/漫反射光谱的测试:仪器使用/样品制备/数据处理
已经有3人回复
原子吸收结果数据分析求助!
已经有9人回复
红外噪音大,如何解决?
已经有5人回复
国外微波吸收材料
已经有124人回复
原子吸收测胶囊中的铬,微波硝解的时候,胶囊用不用剪碎?
已经有8人回复
火焰原子吸收(PE AA700)测量Pb Cd Cu Zn 出现负值???怎么办???
已经有19人回复
原子吸收打印出来的数据信息表上英文缩写ABS-PH、S.D.和R.S.D.%是什么意思
已经有4人回复
WX-4000可以微波消解测定有机物的COD么
已经有5人回复
【讨论】CVD 什么材料 吸收微波
已经有4人回复
【求助】活性炭本身是非极性,但是其吸收微波能力却很强,那么它的吸收原理是什么,谢
已经有5人回复
微波炉的危害 很惊人
已经有82人回复
1楼
2011-07-09 15:00:39
已阅
回复此楼
关注TA
给TA发消息
送TA红花
TA的回帖
沧海扶摇
金虫
(小有名气)
应助: 11
(小学生)
金币: 820.1
散金: 8
红花: 11
帖子: 264
在线: 106.5小时
虫号: 1323633
注册: 2011-06-15
性别: GG
专业: 聚合物共混与复合材料
★
金光闪闪2010(金币+1): 2011-08-27 18:23:34
matlab模拟
你的电磁参数在哪测得?
赞
一下
(1人)
回复此楼
达人观物外之物,思身后之身!
2楼
2011-08-27 09:41:21
已阅
回复此楼
关注TA
给TA发消息
送TA红花
TA的回帖
iamhill
木虫
(小有名气)
应助: 3
(幼儿园)
金币: 3519.7
红花: 1
帖子: 232
在线: 275.9小时
虫号: 567804
注册: 2008-06-02
专业: 凝聚态物性 II :电子结构
用Mathematica 计算,把上面两个公式在软件中设置一下,就可以算了。
赞
一下
回复此楼
3楼
2012-10-26 15:51:03
已阅
回复此楼
关注TA
给TA发消息
送TA红花
TA的回帖
gohappy
铜虫
(正式写手)
应助: 14
(小学生)
金币: 4763.4
散金: 59
红花: 1
帖子: 843
在线: 425.6小时
虫号: 265745
注册: 2006-07-15
专业: 无机材料化学
请问楼主你的微波吸收测试哪里做啊?我也想做啊
赞
一下
回复此楼
4楼
2014-01-06 09:50:26
已阅
回复此楼
关注TA
给TA发消息
送TA红花
TA的回帖
lichuncai
新虫
(初入文坛)
应助: 0
(幼儿园)
金币: 45.1
帖子: 4
在线: 1.4小时
虫号: 7043033
注册: 2017-08-09
专业: 光学
楼主你的测试怎么做的?
赞
一下
回复此楼
5楼
2017-08-09 16:10:15
已阅
回复此楼
关注TA
给TA发消息
送TA红花
TA的回帖
相关版块跳转
材料综合
材料工程
微米和纳米
晶体
金属
无机非金属
生物材料
功能材料
复合材料
我要订阅楼主
香雪海8546
的主题更新
5
1/1
返回列表
如果回帖内容含有宣传信息,请如实选中。否则帐号将被全论坛禁言
普通表情
龙
兔
虎
猫
百度网盘
|
360云盘
|
千易网盘
|
华为网盘
在新窗口页面中打开自己喜欢的网盘网站,将文件上传后,然后将下载链接复制到帖子内容中就可以了。
信息提示
关闭
请填处理意见
关闭
确定