| 查看: 104 | 回复: 0 | ||
[求助]
临界流体色谱中流体的密度变化很大?请教大家一些问题?
|
|
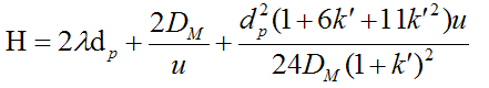
超临界色谱中的流速u的求法 在色谱柱中的流速应该等于体积流量除以色谱柱的截面积,但是在超临界流体色谱中流体的密度变化很大,用注射泵的体积流量除以截面积并不是流体在色谱柱中的真正流速。我想问的是在超临界体系下,范第姆特方程中的流速u(cm/s)应该怎么求? |
» 猜你喜欢
依托企业入选了国家启明计划青年人才。有无高校可以引进的。
已经有14人回复
表哥与省会女结婚,父母去帮带孩子被省会女气回家生重病了
已经有11人回复
江汉大学解明教授课题组招博士研究生/博士后
已经有3人回复
AI 太可怕了,写基金时,提出想法,直接生成的文字比自己想得深远,还有科学性
已经有11人回复
同年申请2项不同项目,第1个项目里不写第2个项目的信息,可以吗
已经有10人回复
依托企业入选了国家启明计划青年人才。有无高校可以引进的。
已经有11人回复
找到一些相关的精华帖子,希望有用哦~
请教几个关于电沉积的最初级的问题,还请各位不吝赐教
已经有5人回复
虚心请教药理学实验的问题,望各位热心的虫虫解答!
已经有9人回复
木虫首发fluent2011年新书《Fluent 12流体分析及工程仿真》
已经有436人回复
【课件】流体力学PP(安徽建筑工业学院)
已经有64人回复
请教关于液相色谱的糖柱拖尾的一些问题。高手入~!!!
已经有11人回复
关于购置气相色谱仪的一些问题
已经有10人回复
【讨论】请教有关流体力学的一个问题
已经有5人回复
【求助】请教关于泡沫镍作为超级电容器集流体的一些问题
已经有13人回复
【求助】请教一个关于流体力学相似准则的问题。
已经有7人回复
科研从小木虫开始,人人为我,我为人人













回复此楼
点击这里搜索更多相关资源