| ²é¿´: 509 | »Ø¸´: 2 | ||
tanzhijianľ³æ (Ö°Òµ×÷¼Ò)
|
[ÇóÖú]
¹ØÓÚ°æÈ¨ÐÒéµÄÌîдÎÊÌâ
|
|
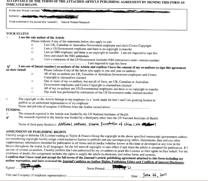
Funding ÄÇÀïÊÇÌîд×Ô¼ºÎÄÕÂËù±»Ö§³ÖµÄÏîÄ¿°É£¿»¹ÊDz»ÓÃÌîд£¬¾ÍÃÀ¹úµÄµÄÒªÌîд£¿ Åöµ½Í¬ÑùÇé¿ö°ïæ»Ø´ðÏ£¬Ð»Ð» [ Last edited by tanzhijian on 2011-6-26 at 14:14 ] |
» ²ÂÄãϲ»¶
081700£¬311£¬Çóµ÷¼Á
ÒѾÓÐ15È˻ظ´
Ò»Ö¾Ô¸±±¾©»¯¹¤085600 310·ÖÇóµ÷¼Á
ÒѾÓÐ18È˻ظ´
085600²ÄÁÏÓ뻯¹¤301·ÖÇóµ÷¼ÁԺУ
ÒѾÓÐ4È˻ظ´
²ÄÁÏÓ뻯¹¤371Çóµ÷¼Á
ÒѾÓÐ14È˻ظ´
336²ÄÁÏÓ뻯¹¤085600Çóµ÷¼Á
ÒѾÓÐ7È˻ظ´
²ÄÁÏ334Çóµ÷¼Á
ÒѾÓÐ18È˻ظ´
331Çóµ÷¼Á
ÒѾÓÐ8È˻ظ´
332Çóµ÷¼Á
ÒѾÓÐ17È˻ظ´
Ò»Ö¾Ô¸ÄϾ©º½¿Õº½Ìì´óѧ ²ÄÁÏÓ뻯¹¤329·ÖÇóµ÷¼Á
ÒѾÓÐ4È˻ظ´
²ÄÁÏר˶322
ÒѾÓÐ7È˻ظ´
» ±¾Ö÷ÌâÏà¹Ø¼ÛÖµÌùÍÆ¼ö£¬¶ÔÄúͬÑùÓаïÖú:
Elsevier °æÈ¨ÐÒéµÄÎÊÌâÇóÖú
ÒѾÓÐ7È˻ظ´
°æÈ¨ÐÒéµÄÎÊÌâ
ÒѾÓÐ7È˻ظ´
¹ØÓÚÈçºÎÌîдJOC°æÈ¨ÐÒé
ÒѾÓÐ6È˻ظ´
¹ØÓÚ°æÈ¨ÐÒéµÄÎÊÌ⣿
ÒѾÓÐ4È˻ظ´
Õâ·Ý °æÈ¨×ªÈÃÐÒéÊé µÄÌõ¿îºÏÀíÂð£¿
ÒѾÓÐ10È˻ظ´
°æÈ¨×ªÈÃÐÒéÌîдÎÊÌ⣡
ÒѾÓÐ7È˻ظ´
ÇëÎÊÕâ¸ö°æÈ¨ÐÒéÔõôÌîд£¿
ÒѾÓÐ6È˻ظ´
¹ØÓÚChinese Physics BµÄÖÕÉóºÍ°æÈ¨×ªÈÃÐÒ顣ϣÍûÓоÑéµÄÅóÓÑÖ¸µãÏ£¡£¡£¡
ÒѾÓÐ15È˻ظ´
Energy sources£¬Part A°æÈ¨ÐÒéÈçºÎÌîд£¿
ÒѾÓÐ9È˻ظ´
¹ØÓÚ°æÈ¨ÐÒéµÄÎÊÌâ
ÒѾÓÐ6È˻ظ´
zhangjunpeng
ÖÁ×ðľ³æ (ÖªÃû×÷¼Ò)
- Ó¦Öú: 125 (¸ßÖÐÉú)
- ½ð±Ò: 26477.5
- É¢½ð: 3660
- ºì»¨: 51
- ɳ·¢: 20
- Ìû×Ó: 8585
- ÔÚÏß: 2033.3Сʱ
- ³æºÅ: 930914
- ×¢²á: 2009-12-20
- ÐÔ±ð: GG
- רҵ: ÉúÎïÐÅϢѧ

2Â¥2011-06-26 16:08:32
| ok |
3Â¥2011-06-26 16:18:05














»Ø¸´´ËÂ¥
5