| 查看: 238 | 回复: 2 | |||
[求助]
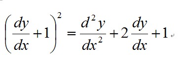
[求助]请教一个个微分的问题
|
|||
|
|
|||
racoon01专家顾问 (著名写手)
|
|||
![]() |
|||
|
2楼2011-06-25 17:48:17
|
|
||
hill008金虫 (正式写手)
|
|||
|
3楼2011-06-25 18:01:31
|
|














回复此楼
