| 查看: 601 | 回复: 1 | |
| 【奖励】 本帖被评价1次,作者rvnc增加金币 0.6 个 | |
[资源]
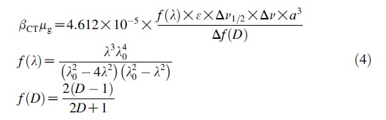
溶致变色法测量一阶超极化率简易计算程序
|
|
|
|
|
|
2楼2011-06-28 01:35:41
|
|














回复此楼