| 查看: 463 | 回复: 6 | ||
| 本帖产生 1 个 博学EPI ,点击这里进行查看 | ||
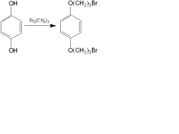
[求助]
反应是否可行
|
||
|
|
||
|
||
|
2楼2011-06-23 21:27:26
|
|
|
|
3楼2011-06-24 08:46:13
|
|
|
|
4楼2011-06-24 13:44:19
|
|
|
lihongze木虫 (正式写手)
|
||
|
5楼2011-06-24 15:19:46
|
|
|
chemcloudy木虫 (正式写手)
|
||
|
6楼2011-06-27 14:34:11
|
|
|
chemcloudy木虫 (正式写手)
|
||
|
7楼2011-06-28 10:54:50
|
|
|













回复此楼