| ²é¿´: 1136 | »Ø¸´: 3 | ||
dongjianfang½ð³æ (Ö°Òµ×÷¼Ò)
|
[ÇóÖú]
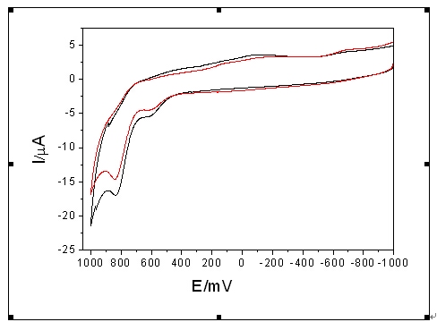
Çëµç·ÖÎöµÄ³æÓѰïæÕÒÒ»ÏÂÁ½¸öÑ»··ü°²ÇúÏßµÄÑõ»¯ºÍ»¹Ô·å
|
|
https://g.zhubajie.com/urllink.php?id=11262495yhadsci1e310wvz1 https://g.zhubajie.com/urllink.php?id=11262497ytl4lk399t4h1p2z ·Ö±ðÁ½¸öÊÇËļ۷°ÅäºÏÎï¼°ÆäÓëDNA×÷ÓúóCV ÇúÏߣ¬ÇëÏêϸ±ê³öÑõ»¯ºÍ»¹Ô·åµÄµçѹ¼°µçÁ÷£¬»¹Ô·å²»Ã÷ÏÔÇ뾡Á¿ÕÒ³ö¡£Ð»Ð»£¡ |
» ²ÂÄãϲ»¶
²ÄÁÏר˶322
ÒѾÓÐ4È˻ظ´
308Çóµ÷¼Á
ÒѾÓÐ11È˻ظ´
»úеר˶274Çóµ÷¼Á£¬²»ÌôרҵѧУ
ÒѾÓÐ7È˻ظ´
336²ÄÁÏÓ뻯¹¤085600Çóµ÷¼Á
ÒѾÓÐ6È˻ظ´
Ò»Ö¾Ô¸Ö£ÖÝ´óѧ085600Çóµ÷¼Á
ÒѾÓÐ18È˻ظ´
302·ÖÇóµ÷¼Á Ò»Ö¾Ô¸°²»Õ´óѧ085601
ÒѾÓÐ8È˻ظ´
294Çóµ÷¼Á
ÒѾÓÐ5È˻ظ´
ÉúÎïÓëÒ½Ò©Çóµ÷¼Á
ÒѾÓÐ6È˻ظ´
Çóµ÷¼Á
ÒѾÓÐ8È˻ظ´
Ò»Ö¾Ô¸±±¾©»¯¹¤085600 310·ÖÇóµ÷¼Á
ÒѾÓÐ16È˻ظ´
hblgczy
ÖÁ×ðľ³æ (ÎÄ̳¾«Ó¢)
- ²©Ñ§EPI: 667
- Ó¦Öú: 81 (³õÖÐÉú)
- ½ð±Ò: 26583.8
- É¢½ð: 168
- ºì»¨: 37
- ɳ·¢: 38
- Ìû×Ó: 11563
- ÔÚÏß: 1274Сʱ
- ³æºÅ: 348922
- ×¢²á: 2007-04-19
- ÐÔ±ð: GG
- רҵ: µç»¯Ñ§

2Â¥2011-06-21 21:40:40
dongjianfang
½ð³æ (Ö°Òµ×÷¼Ò)
- Ó¦Öú: 2 (Ó×¶ùÔ°)
- ½ð±Ò: 8274.2
- É¢½ð: 20
- Ìû×Ó: 3550
- ÔÚÏß: 559.1Сʱ
- ³æºÅ: 259039
- ×¢²á: 2006-06-11
- ÐÔ±ð: GG
- רҵ: ÉúÎïÎÞ»ú»¯Ñ§
3Â¥2011-06-22 06:23:10
dongjianfang
½ð³æ (Ö°Òµ×÷¼Ò)
- Ó¦Öú: 2 (Ó×¶ùÔ°)
- ½ð±Ò: 8274.2
- É¢½ð: 20
- Ìû×Ó: 3550
- ÔÚÏß: 559.1Сʱ
- ³æºÅ: 259039
- ×¢²á: 2006-06-11
- ÐÔ±ð: GG
- רҵ: ÉúÎïÎÞ»ú»¯Ñ§
4Â¥2011-06-22 14:54:54














»Ø¸´´ËÂ¥