²é¿´: 1323  |  »Ø¸´: 7

965223077

ľ³æ (СÓÐÃûÆø)

¼Íί¼à²ì²¿

[ÇóÖú] ¡¾ÇóÖú¡¿¼¸µÀ¸ßÊýÌ⣬´ó¼Ò°ï°ïæ°¡



¼±£¬´ó¼Ò°ï°ïæ°¡
»Ø¸´´ËÂ¥

» ²ÂÄãϲ»¶

» ±¾Ö÷ÌâÏà¹Ø¼ÛÖµÌùÍÆ¼ö£¬¶ÔÄúͬÑùÓаïÖú:

I wil lthink of you every step of the way.
ÒÑÔÄ   »Ø¸´´ËÂ¥   ¹Ø×¢TA ¸øTA·¢ÏûÏ¢ ËÍTAºì»¨ TAµÄ»ØÌû
soliton923: ÇëÎð¹àË®~¾¯¸æÒ»´Î 2011-06-12 20:37:29
2Â¥2011-06-10 12:53:40
ÒÑÔÄ   »Ø¸´´ËÂ¥   ¹Ø×¢TA ¸øTA·¢ÏûÏ¢ ËÍTAºì»¨ TAµÄ»ØÌû
soliton923: ÇëÎð¹àË®~¾¯¸æÒ»´Î 2011-06-12 20:37:37
3Â¥2011-06-10 13:16:52
ÒÑÔÄ   »Ø¸´´ËÂ¥   ¹Ø×¢TA ¸øTA·¢ÏûÏ¢ ËÍTAºì»¨ TAµÄ»ØÌû

jfili

½ð³æ (ÕýʽдÊÖ)

¡¾´ð°¸¡¿Ó¦Öú»ØÌû

¡ï ¡ï
СÓêÃÈÃÈ(½ð±Ò+2): 3Q 2011-06-11 16:33:01
°Ë¡¢\sum_{k=1}^n2^{k/n}/n    £¨1£©
Ó루1£©Ê½½øÐбȽϣ¬ÈÝÒ×Ö¤µÃÁ½Ê½Ïà¼õÇ÷½üÓÚ0. £¨1£©Ê½ÈÝÒ×ÇóµÃ½á¹û¡£

Ê®¶þ¡¢ÓÉ f'(x)-kf(x)>=0£¬ËùÒÔd/dx[e^{-kx}f(x)]<=0£¬»ý·ÖµÃ£¬e^{-kx}f(x)<=0£¬ËùÒÔf(x)<=0£»ÔÙ½áºÏ f'(x)>=0, f(0)=0£¬¿ÉµÃf(x)=0
4Â¥2011-06-10 13:26:27
ÒÑÔÄ   »Ø¸´´ËÂ¥   ¹Ø×¢TA ¸øTA·¢ÏûÏ¢ ËÍTAºì»¨ TAµÄ»ØÌû

xxppyy

ľ³æ (СÓÐÃûÆø)

¡¾´ð°¸¡¿Ó¦Öú»ØÌû

¡ï
СÓêÃÈÃÈ(½ð±Ò+1): 3Q 2011-06-11 16:33:11
Ê®¡¢Õ¹¿ªº¯ÊýΪxµÄÃݼ¶Êý

 http://latex.codecogs.com/gif.latex?\\&space;y=\sum_{n=1}^{\infty&space;}a_nx^n\\\\&space;a_{100}=2^{100}\left&space;(&space;\frac{1}{99}-\frac{1}{100}-\frac{1}{98\times&space;4}&space;\right&space\\\\&space;y^{(100)}(0)=100!\times&space;a_{100}
5Â¥2011-06-11 07:56:57
ÒÑÔÄ   »Ø¸´´ËÂ¥   ¹Ø×¢TA ¸øTA·¢ÏûÏ¢ ËÍTAºì»¨ TAµÄ»ØÌû

xxppyy

ľ³æ (СÓÐÃûÆø)

¡ï
СÓêÃÈÃÈ(½ð±Ò+1): лл»ØÌû 2011-06-17 14:47:07
6Â¥2011-06-11 08:02:48
ÒÑÔÄ   »Ø¸´´ËÂ¥   ¹Ø×¢TA ¸øTA·¢ÏûÏ¢ ËÍTAºì»¨ TAµÄ»ØÌû

cxqiang23

ľ³æ (СÓÐÃûÆø)

¡¾´ð°¸¡¿Ó¦Öú»ØÌû

¡ï ¡ï
СÓêÃÈÃÈ(½ð±Ò+2): 3Q 2011-06-11 16:33:19
965223077(½ð±Ò+10): 2011-10-26 15:42:18
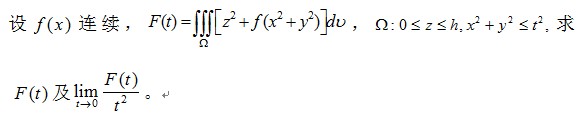
Áù£º
1£©£¬°ÑÌå»ý·Ö±ä»»ÎªÔ²ÖùÌå»ý·Ö£¬¸ù¾Ý±ä»»¹ØÏµ
zµÄ»ý·ÖÇø[0,h]£¬rµÄ»ý·ÖÇø[0£¬t],½Ç¶ÈµÄ»ý·ÖÇø[-pi/2,pi/2]
»ý·ÖµÃµ½¹ØÓÚf(t^2)µÄ»ý·Ö±í´ïʽ
2£©£¬¸ù¾Ý΢·Ö¶¨Ò壬Ϊf(t^2)ÔÚt=0µÄÖµ
ʼÖÕ´ú±íÖйú˧¸çµÄ·¢Õ¹·½Ïò;ʼÖÕ´ú±íÖйúÄÐÉú²ÅÖÇºÍÆøÖʵÄǰ½ø·½Ïò;
7Â¥2011-06-11 08:21:22
ÒÑÔÄ   »Ø¸´´ËÂ¥   ¹Ø×¢TA ¸øTA·¢ÏûÏ¢ ËÍTAºì»¨ TAµÄ»ØÌû

cxqiang23

ľ³æ (СÓÐÃûÆø)

¡ï
СÓêÃÈÃÈ(½ð±Ò+1): лл»ØÌû 2011-06-17 14:47:17
ÒýÓûØÌû:
Originally posted by cxqiang23 at 2011-06-11 08:21:22:
Áù£º
1£©£¬°ÑÌå»ý·Ö±ä»»ÎªÔ²ÖùÌå»ý·Ö£¬¸ù¾Ý±ä»»¹ØÏµ
zµÄ»ý·ÖÇø[0,h]£¬rµÄ»ý·ÖÇø[0£¬t],½Ç¶ÈµÄ»ý·ÖÇø[-pi/2,pi/2]
»ý·ÖµÃµ½¹ØÓÚf(t^2)µÄ»ý·Ö±í´ïʽ
2£©£¬¸ù¾Ý΢·Ö¶¨Ò壬Ϊf(t^2)ÔÚt=0µÄÖµ

½Ç¶È»ý·ÖÇøÓòΪ[-pi,pi]
ÌØ¸üÕýÏÂ
ʼÖÕ´ú±íÖйú˧¸çµÄ·¢Õ¹·½Ïò;ʼÖÕ´ú±íÖйúÄÐÉú²ÅÖÇºÍÆøÖʵÄǰ½ø·½Ïò;
8Â¥2011-06-12 14:18:18
ÒÑÔÄ   »Ø¸´´ËÂ¥   ¹Ø×¢TA ¸øTA·¢ÏûÏ¢ ËÍTAºì»¨ TAµÄ»ØÌû
Ïà¹Ø°æ¿éÌø×ª ÎÒÒª¶©ÔÄÂ¥Ö÷ 965223077 µÄÖ÷Ìâ¸üÐÂ
×î¾ßÈËÆøÈÈÌûÍÆ¼ö [²é¿´È«²¿] ×÷Õß »Ø/¿´ ×îºó·¢±í
[»ù½ðÉêÇë] Çë½ÌÏ´ó¼Ò 2026Äê¹ú¼Ò»ù½ðÉêÇëÊÇ˫äÉóÂ𣿠+3 lishucheng1 2026-03-22 5/250 2026-03-24 08:22 by gltch
[¿¼ÑÐ] 335·Ö | ²ÄÁÏÓ뻯¹¤×¨Ë¶ | GPA 4.07 | ÓпÆÑо­Àú +4 cccchenso 2026-03-23 4/200 2026-03-23 23:00 by Ðìckkk
[¿¼ÑÐ] 269Çóµ÷¼Á +4 ÎÒÏë¶ÁÑÐ11 2026-03-23 4/200 2026-03-23 21:25 by pswait
[¿¼ÑÐ] Ò»Ö¾Ô¸ÖØÇì´óѧ085700×ÊÔ´Óë»·¾³£¬×Ü·Ö308Çóµ÷¼Á +7 īīĮ 2026-03-23 8/400 2026-03-23 20:36 by Creta
[¿¼ÑÐ] ÉúÎïѧһ־Ը985£¬·ÖÊý349Çóµ÷¼Á +6 zxts12 2026-03-21 9/450 2026-03-23 18:37 by macy2011
[¿¼ÑÐ] 336»¯¹¤µ÷¼Á +4 Íõ´ó̹1 2026-03-23 5/250 2026-03-23 18:32 by allen-yin
[¿¼ÑÐ] Çóµ÷¼ÁÒ»Ö¾Ô¸Î人Àí¹¤´óѧ²ÄÁϹ¤³Ì£¨085601£© +3 WW.' 2026-03-23 5/250 2026-03-23 17:18 by ·ãÒíljj
[¿¼ÑÐ] 291 Çóµ÷¼Á +4 »¯¹¤2026½ì±ÏÒµÉ 2026-03-21 5/250 2026-03-23 16:46 by »¯¹¤2026½ì±ÏÒµÉ
[¿¼ÑÐ] 307Çóµ÷¼Á +3 ÓàÒâÇä 2026-03-21 3/150 2026-03-23 10:32 by Iveryant
[¿¼ÑÐ] 280·ÖÇóµ÷¼Á Ò»Ö¾Ô¸085802 +4 PUMPT 2026-03-22 7/350 2026-03-22 22:13 by ÐÇ¿ÕÐÇÔÂ
[¿¼ÑÐ] 0854µç×ÓÐÅÏ¢Çóµ÷¼Á +3 ¦Á____ 2026-03-22 3/150 2026-03-22 21:28 by zhq0425
[¿¼ÑÐ] Ò»Ö¾Ô¸Î÷°²½»Í¨´óѧ²ÄÁϹ¤³Ìרҵ 282·ÖÇóµ÷¼Á +11 ·ãÇÅZL 2026-03-18 13/650 2026-03-22 20:26 by edmund7
[¿¼ÑÐ] ѰÕÒµ÷¼Á +4 ¾óǿâ? 2026-03-21 4/200 2026-03-22 16:14 by ľÍÐζ¶
[¿¼ÑÐ] Ò»Ö¾Ô¸±±¾©»¯¹¤´óѧ070300 ѧ˶336Çóµ÷¼Á +5 vvÃÔ 2026-03-21 8/400 2026-03-22 14:20 by ColorlessPI
[¿¼ÑÐ] 296Çóµ÷¼Á +4 www_q 2026-03-20 4/200 2026-03-21 17:26 by ѧԱ8dgXkO
[¿¼ÑÐ] 22 350 ±¾¿Æ985Çóµ÷¼Á£¬ÇóÀϵÇÊÕÁô +3 ÀîéóÄÐ003 2026-03-20 3/150 2026-03-21 13:28 by ²«»÷518
[¿¼ÑÐ] Äϲý´óѧ²ÄÁÏר˶311·ÖÇóµ÷¼Á +6 77chaselx 2026-03-20 6/300 2026-03-21 07:24 by JourneyLucky
[¿¼ÑÐ] 265Çóµ÷¼Á +3 Jack?k?y 2026-03-17 3/150 2026-03-21 03:17 by JourneyLucky
[¿¼ÑÐ] »¯Ñ§Çóµ÷¼Á +4 ÁÙÔó¾³llllll 2026-03-17 5/250 2026-03-21 02:23 by JourneyLucky
[¿¼ÑÐ] 0703»¯Ñ§µ÷¼Á +3 ÄÝÄÝninicgb 2026-03-17 3/150 2026-03-18 10:29 by macy2011
ÐÅÏ¢Ìáʾ
ÇëÌî´¦ÀíÒâ¼û