| 查看: 342 | 回复: 3 | |
[求助]
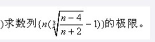
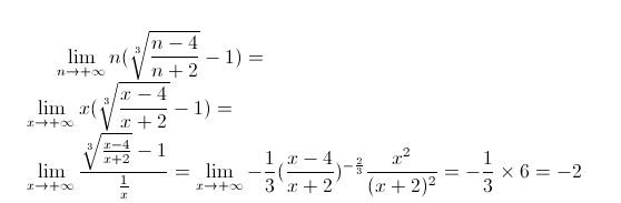
在线等,本人时间不多了
|
|
|
|
|
|
2楼2011-06-09 15:38:01
|
|
soliton923铁杆木虫 (职业作家)
数学村村长
|
|
![]() |
|
|
3楼2011-06-09 15:58:15
|
|
|
4楼2011-06-09 16:09:33
|
|













回复此楼
