| 查看: 229 | 回复: 1 | ||
[求助]
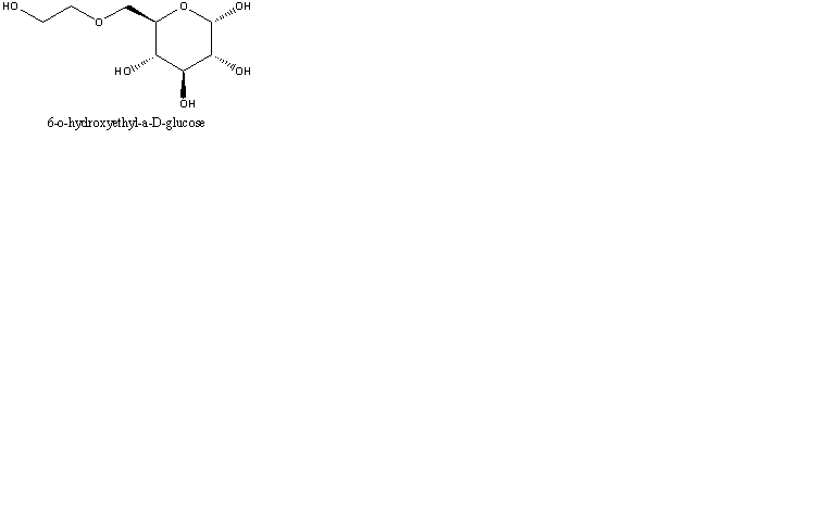
6-o-hydroxyethyl-α-D-glucose
|
|
6-o-hydroxyethyl-α-D-glucose 求助这个化合物的化学式结构 最好有图 谢谢 |
» 猜你喜欢
拟解决的关键科学问题还要不要写
已经有8人回复
请教限项目规定
已经有5人回复
最失望的一年
已经有16人回复
存款400万可以在学校里躺平吗
已经有33人回复
求助一下有机合成大神
已经有3人回复
求推荐英文EI期刊
已经有5人回复
26申博
已经有3人回复
基金委咋了?2026年的指南还没有出来?
已经有10人回复
基金申报
已经有6人回复
疑惑?
已经有5人回复
liubencai
木虫之王 (文坛精英)
- 博学EPI: 104
- 应助: 84 (初中生)
- 贵宾: 0.103
- 金币: 100902
- 红花: 108
- 沙发: 57
- 帖子: 21817
- 在线: 2403.8小时
- 虫号: 273437
- 注册: 2006-08-20
- 性别: GG
- 专业: 配位化学

2楼2011-06-02 17:43:49













回复此楼