| ²é¿´: 1049 | »Ø¸´: 5 | ||
jjgy_2002ľ³æ (ÖøÃûдÊÖ)
|
[ÇóÖú]
ÇóÖú: һͼÏñ´¦ÀíÎÄÏ×µÄÒ»´¦¹«Ê½ÍƵ¼ÊÍÒÉ
|
|
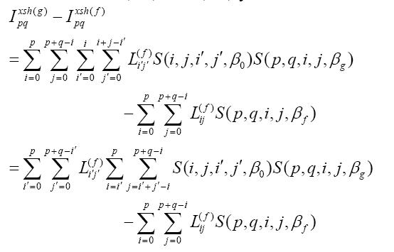
Ŀǰ¿´Ò»Í¼Ïñ´¦ÀíÎÄÏ×, ÓÐÒ»´¦¹«Ê½ÍƵ¼²»ÄÜÀí½â. ÏÖÔÚµÄÒÉÎÊÊDz»Ã÷°×µÚ2²½µÄµÚ3¸öÇóºÍµÄ±äÁ¿·¶Î§Îª[i'£¬p], µÚ4¸öÇóºÍµÄ±äÁ¿·¶Î§Îª[i'+j'-i£¬p+q-i]? ÇëÖªµÀµÄ³æÓÑÖ¸½Ì£¬Ð»Ð»£¡£¡£¡ |
» ²ÂÄãϲ»¶
Ò»Ö¾Ô¸±±½»´ó²ÄÁϹ¤³Ì×Ü·Ö358Çóµ÷¼Á
ÒѾÓÐ9È˻ظ´
286Çóµ÷¼Á
ÒѾÓÐ11È˻ظ´
Çóµ÷¼Á£¡ÉúÎïÓëҽҩר˶
ÒѾÓÐ6È˻ظ´
362Çóµ÷¼ÁÒ»Ö¾Ô¸ÖйúʯÓÍ´óѧ
ÒѾÓÐ4È˻ظ´
085600£¬321·ÖÇóµ÷¼Á
ÒѾÓÐ14È˻ظ´
²ÄÁϵ÷¼Á
ÒѾÓÐ4È˻ظ´
Ò»Ö¾Ô¸ÉúÎïÓëÒ½Ò©£¬296·Ö£¬Çóµ÷¼Á
ÒѾÓÐ11È˻ظ´
346·ÖµÄÉúÎïÓëÒ½Ò©08600Çóµ÷¼Á
ÒѾÓÐ7È˻ظ´
071000ÉúÎïѧµ÷¼Á
ÒѾÓÐ6È˻ظ´
Ò»Ö¾Ô¸Ö£ÖÝ´óѧ²ÄÁÏÓ뻯¹¤085600£¬Çóµ÷¼Á
ÒѾÓÐ25È˻ظ´
» ±¾Ö÷ÌâÏà¹Ø¼ÛÖµÌùÍÆ¼ö£¬¶ÔÄúͬÑùÓаïÖú:
¡¾ÇóÖú¡¿AlNµÄK-XµãÖ®¼äµÄͼÏñ±ä»¯±ÈÎÄÏ×ÖеÄÒª»ºÂý
ÒѾÓÐ9È˻ظ´
¡¾ÇóÖú¡¿¹ØÓÚÊý×ÖͼÏñ´¦Àí·½ÃæµÄÎÄÏ×µÄÇë½Ì¡£
ÒѾÓÐ11È˻ظ´
¡¾ÇóÖú¡¿Í¼Ïñ´¦Àí ÉêÇë¹úÍâphd
ÒѾÓÐ18È˻ظ´
¡¾ÇóÖú¡¿Çë½ÌͼÏñ´¦ÀíÎÊÌ⣬¼±£¬Ð»Ð»¸÷λÁË
ÒѾÓÐ7È˻ظ´
¡¾ÇóÖú¡¿VC++MFC±à³Ì£¬¶Ô»°¿òµ÷Óõ¥Îĵµ£¬»¹Òª´¦ÀíһЩ»Í¼µÄ¶«Î÷
ÒѾÓÐ16È˻ظ´
¡¾ÇóÖú¡¿Õâ¸ö¹ÖÒ칫ʽÊÇÈçºÎÍÆµ¼³öÀ´µÄ£¿
ÒѾÓÐ9È˻ظ´
¡¾ÇóÖú¡¿Í¼Ïñ´¦Àí¹ý³ÌÖпռäÓòºÍת»»Óò±¾ÖʵÄÇø±ðÊÇʲô£¿£¿
ÒѾÓÐ14È˻ظ´
hwbcg215
Òø³æ (ÕýʽдÊÖ)
Õý¿à±ÆÕß
- Ó¦Öú: 0 (Ó×¶ùÔ°)
- ½ð±Ò: 736.5
- É¢½ð: 1264
- ºì»¨: 27
- Ìû×Ó: 792
- ÔÚÏß: 228.5Сʱ
- ³æºÅ: 1168244
- ×¢²á: 2010-12-12
- ÐÔ±ð: GG
- רҵ: ¼ÆËã»úÈí¼þ
2Â¥2011-05-30 17:05:35
fmtgy
½ð³æ (³õÈëÎÄ̳)
- Ó¦Öú: 0 (Ó×¶ùÔ°)
- ½ð±Ò: 1027
- É¢½ð: 5
- ºì»¨: 1
- Ìû×Ó: 33
- ÔÚÏß: 18.5Сʱ
- ³æºÅ: 1252879
- ×¢²á: 2011-04-02
- ÐÔ±ð: GG
- רҵ: ¼ÆËã»úÓ¦Óü¼Êõ

3Â¥2011-05-31 16:00:22
fmtgy
½ð³æ (³õÈëÎÄ̳)
- Ó¦Öú: 0 (Ó×¶ùÔ°)
- ½ð±Ò: 1027
- É¢½ð: 5
- ºì»¨: 1
- Ìû×Ó: 33
- ÔÚÏß: 18.5Сʱ
- ³æºÅ: 1252879
- ×¢²á: 2011-04-02
- ÐÔ±ð: GG
- רҵ: ¼ÆËã»úÓ¦Óü¼Êõ

4Â¥2011-06-01 00:44:10
fmtgy
½ð³æ (³õÈëÎÄ̳)
- Ó¦Öú: 0 (Ó×¶ùÔ°)
- ½ð±Ò: 1027
- É¢½ð: 5
- ºì»¨: 1
- Ìû×Ó: 33
- ÔÚÏß: 18.5Сʱ
- ³æºÅ: 1252879
- ×¢²á: 2011-04-02
- ÐÔ±ð: GG
- רҵ: ¼ÆËã»úÓ¦Óü¼Êõ

5Â¥2011-06-01 20:33:21
jjgy_2002
ľ³æ (ÖøÃûдÊÖ)
- Ó¦Öú: 16 (СѧÉú)
- ½ð±Ò: 1285.3
- É¢½ð: 1557
- ºì»¨: 4
- Ìû×Ó: 1955
- ÔÚÏß: 986.9Сʱ
- ³æºÅ: 646930
- ×¢²á: 2008-11-05
- רҵ: ÐźÅÀíÂÛÓëÐźŴ¦Àí
6Â¥2011-06-01 21:29:17














»Ø¸´´ËÂ¥