| ²é¿´: 869 | »Ø¸´: 3 | ||
| ±¾Ìû²úÉú 1 ¸ö ²©Ñ§EPI £¬µã»÷ÕâÀï½øÐв鿴 | ||
aaa393903466ľ³æ (СÓÐÃûÆø)
|
[ÇóÖú]
Çë°ïæ¿´¿´ÎÒµÄÈÈÖØÊDz»ÊǵÃÖØ×ö
|
|
|
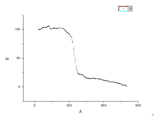
Ö÷Òª³É·ÖÊǸßÂÈËáï§£¬»¹ÓÐHTPB£¬Í¨N2£¬ÉýÎÂËÙÂÊÊÇ2¶Èÿ·ÖÖÓ¡£ ¾ÓÈ»ÔÚ2¸öСʱÄÚ£¬ÖÊÁ¿·ÖÊýʼÖÕ´óÓÚ1£¬²»Àí½â°¡¡£ Çó¸ßÊÖ°ïæ·ÖÎö£¬Ë³±ã¸æÏÂ290-380µÄÄǶηå±íʾµÄº¬Ò壬½ð±Ò²»ÊÇÎÊÌâ¹þ£¬Ð»Ð»£¡ |
» ²ÂÄãϲ»¶
Çóµ÷¼ÁÒ»Ö¾Ô¸º£´ó£¬0703»¯Ñ§Ñ§Ë¶304·Ö£¬Óдó´´ÏîÄ¿£¬Ëļ¶Òѹý
ÒѾÓÐ9È˻ظ´
289²ÄÁÏÓ뻯¹¤£¨085600£©BÇøÇóµ÷¼Á
ÒѾÓÐ4È˻ظ´
Ò»Ö¾Ô¸ÎäÀí²ÄÁϹ¤³Ì348Çóµ÷¼Á
ÒѾÓÐ6È˻ظ´
08¹¤¿Æ 320×Ü·Ö Çóµ÷¼Á
ÒѾÓÐ11È˻ظ´
Ò»Ö¾Ô¸»ªÖÐũҵ071010£¬×Ü·Ö320Çóµ÷¼Á
ÒѾÓÐ6È˻ظ´
323Çóµ÷¼Á
ÒѾÓÐ5È˻ظ´
284Çóµ÷¼Á
ÒѾÓÐ5È˻ظ´
317Çóµ÷¼Á
ÒѾÓÐ16È˻ظ´
287Çóµ÷¼Á
ÒѾÓÐ9È˻ظ´
Çóµ÷¼Á
ÒѾÓÐ6È˻ظ´
hblgczy
ÖÁ×ðľ³æ (ÎÄ̳¾«Ó¢)
- ²©Ñ§EPI: 667
- Ó¦Öú: 81 (³õÖÐÉú)
- ½ð±Ò: 26583.8
- É¢½ð: 168
- ºì»¨: 37
- ɳ·¢: 38
- Ìû×Ó: 11563
- ÔÚÏß: 1274Сʱ
- ³æºÅ: 348922
- ×¢²á: 2007-04-19
- ÐÔ±ð: GG
- רҵ: µç»¯Ñ§
¡¾´ð°¸¡¿Ó¦Öú»ØÌû
aaa393903466(½ð±Ò+1, ²©Ñ§EPI+1): Ï£ÍûÄÜ¿´ÏÂͼÔÙ˵Ã÷ ÒòΪÄã˵µÄÕâЩÎÒ¶¼ÖªµÀ 2011-05-31 12:01:48
|
ÖÊÁ¿·ÖÊýʼÖÕ´óÓÚÒ»µÄÔÒò£¬É豸µÄ»ùÏ߯®ÒÆ£¬Ã»Óп۳ý±³µ×£¬É豸²»Îȶ¨£¬ÁíÍâ¾ÍÊÇ·ÖÎöÄãµÄÑùÆ·ÖÐÊÇ·ñº¬Óк͵ª·¢Éú·´Ó¦µÄÎïÖÊ£¬ÕâÑù»á´óÓÚÒ»ÊôÓÚÕý³£ ÓÉÓÚÎÒÕâÀïÏÔʾ²»³öͼ£¬Ã»Óп´µ½Í¼£¬ËùÒÔ²»ÖªµÀ¾ßÌåÇé¿ö£¬ÁíÍâ¾ÍÊÇ290-380·¶Î§¿ÉÄÜΪÎïÖʵĸßÂÈËá°´µÄ·Ö½â |

2Â¥2011-05-30 10:22:30
aaa393903466
ľ³æ (СÓÐÃûÆø)
- Ó¦Öú: 1 (Ó×¶ùÔ°)
- ½ð±Ò: 1988.2
- É¢½ð: 20
- Ìû×Ó: 115
- ÔÚÏß: 70.9Сʱ
- ³æºÅ: 1278448
- ×¢²á: 2011-04-26
- רҵ: ¸ß·Ö×Ӻϳɻ¯Ñ§
3Â¥2011-05-30 14:45:14
hblgczy
ÖÁ×ðľ³æ (ÎÄ̳¾«Ó¢)
- ²©Ñ§EPI: 667
- Ó¦Öú: 81 (³õÖÐÉú)
- ½ð±Ò: 26583.8
- É¢½ð: 168
- ºì»¨: 37
- ɳ·¢: 38
- Ìû×Ó: 11563
- ÔÚÏß: 1274Сʱ
- ³æºÅ: 348922
- ×¢²á: 2007-04-19
- ÐÔ±ð: GG
- רҵ: µç»¯Ñ§
¡¾´ð°¸¡¿Ó¦Öú»ØÌû
aaa393903466(½ð±Ò+1): ²»¿ÉÄܹýÁË2¸ö¶àСʱ»¹²»Îȶ¨°É£¬2¶Èÿ·ÖÖÓµÄÉýÎÂËÙÂÊ¡£ÄÇôÔÚ380-450µÄÄǶηåÓÖÒâζ×Åʲô£¿ 2011-05-31 16:03:37
|
Ç°ÃæµÄÖÊÁ¿·ÖÊý´óÓÚ1ÊôÓÚÉ豸ÔËÐв»Îȶ¨µ¼Ö£¡ 290-380¡æµÄ·å˵Ã÷ÔÚ´Ëζȷ¶Î§ÄÚ£¬¸ßÂÈËá狀ÍHTPB·¢Éú·´Ó¦£¬¸ßÂÈËáï§ÎªÑõ»¯¼ÁÑõ»¯HTPB£¬Õâ¸ö·´Ó¦ºÜ¶àÔÚÑÌ»ðÕ¨Ò©·½ÃæÓ¦Óý϶ࡣÀýÈçHTPBͨ³£ÓÃÓÚ¹ÌÌå»ð¼ý·¢¶¯»úÖУ¬½«È¼ÁϺÍÑõ»¯¼Á»ìºÏÄý½á³É¹Ì̬ÎïÖÊ¡£ÓÉN2O£¨Ò»Ñõ»¯¶þµª£¬¼´¡°Ð¦Æø¡±£©×÷Ñõ»¯¼Á£¬HTPB»¹ÓÃÓÚSpaceDev¹«Ë¾Ñз¢µÄÌ«¿Õ´¬Ò»ºÅµÄ¹ÌÒº»ìºÏ·¢¶¯»ú¡£ËüÒ²ÊÇÈÕ±¾M5»ð¼ý3/4¼¶¶¯Á¦À´Ô´¡£JAXA½«ÕâÖÖȼÁÏÃèÊöΪ"HTPB/AP/Al=12/68/20"£¬ÒâË¼ÖØÁ¿±ÈÀý£¬HTPBÕ¼12%£¨Õ³ºÏ¼Á£¬È¼ÁÏ£©£¬¸ßÂÈËáï§Õ¼68%£¨Ñõ»¯¼Á£©£¬ÂÁ·ÛÕ¼20%£¨È¼ÁÏ£©¡£ |

4Â¥2011-05-31 14:57:12













»Ø¸´´ËÂ¥