| ²é¿´: 1246 | »Ø¸´: 2 | ||||
wenwuxu8992½ð³æ (³õÈëÎÄ̳)
|
[ÇóÖú]
molpro²¨º¯ÊýµÄÌáÈ¡
|
|
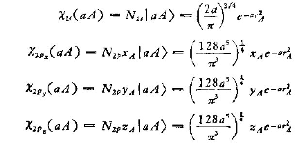
ÎÒÏëÌáȡһ¸öÔ×ӵIJ¨º¯Êý£¬ÓÃmolproµÃµ½ÒÔÏÂÐÅÏ¢ BASIS DATA Nr Sym Nuc Type Exponents Contraction coefficients 1.1 A 1 1s 98.124300 0.028745 14.768900 0.208061 3.318830 0.837635 2.1 A 1 1s 0.874047 1.000000 3.1 A 1 1s 0.244564 1.000000 4.1 A 1 2px 1.500000 1.000000 5.1 A 1 2py 1.500000 1.000000 6.1 A 1 2pz 1.500000 1.000000 7.1 A 1 2px 0.375000 1.000000 8.1 A 1 2py 0.375000 1.000000 9.1 A 1 2pz 0.375000 1.000000 10.1 A 1 3d0 2.000000 1.000000 11.1 A 1 3d2- 2.000000 1.000000 12.1 A 1 3d1+ 2.000000 1.000000 13.1 A 1 3d2+ 2.000000 1.000000 14.1 A 1 3d1- 2.000000 1.000000 ¶ÔÓÚ1sºÍ2p¹ìµÀµÄ²¨º¯ÊýÐÎʽ£¬Á¿×Ó»¯Ñ§ÊéÀï¿ÉÒÔÃ÷È·µÄÕÒµ½£¬¼ûͼƬ ÄÇôd¹ìµÀµÄ5¸ö²¨º¯ÊýÐÎʽÓÖÊÇÔõÑùµÄÄØ£¿Çë¸ßÊÖÖ¸µã£¬Ïà¹Ø×ÊÁÏ¿ÉÒÔͨ¹ýÓÊÏä·¢¸øÎÒxuwenwu21st@163.com£¬²»Éõ¸Ðл |
» ±¾ÌûÒÑ»ñµÃµÄºì»¨£¨×îÐÂ10¶ä£©
» ²ÂÄãϲ»¶
ÄÜÔ´»·¾³Ð²ÄÁÏÑо¿ÍÅ¶Ó µ¼Ê¦½éÉÜ Ñо¿ÉúÕÐÉú
ÒѾÓÐ0È˻ظ´
ÄÜÔ´»·¾³Ð²ÄÁÏÑо¿ÍÅ¶Ó µ¼Ê¦½éÉÜ Ñо¿ÉúÕÐÉú
ÒѾÓÐ0È˻ظ´
ÎïÀí»¯Ñ§ÂÛÎÄÈóÉ«/·ÒëÔõôÊÕ·Ñ?
ÒѾÓÐ65È˻ظ´
348 Çóµ÷¼Á
ÒѾÓÐ3È˻ظ´
ÕÐÊÕ ²ÄÁÏ¡¢ÐÂÄÜÔ´¡¢Ò±½ð¡¢»¯¹¤¡¢»·¾³ µÈ¹¤¿ÆÀ࿼Éú
ÒѾÓÐ2È˻ظ´
ÕÐÊÕ ÐÂÄÜÔ´¡¢Ò±½ð¡¢²ÄÁÏ¡¢»¯¹¤¡¢»·¾³ µÈ¹¤¿ÆÀ࿼Éú
ÒѾÓÐ0È˻ظ´
393Çóµ÷¼ÁÍÆ¼ö
ÒѾÓÐ1È˻ظ´
ÄÜÔ´»·¾³Ð²ÄÁÏÑо¿ÍÅ¶Ó ÕÐÊÕ ÐÂÄÜÔ´¡¢Ò±½ð¡¢²ÄÁÏ¡¢»¯¹¤¡¢»·¾³ µÈ¹¤¿ÆÀ࿼Éú
ÒѾÓÐ0È˻ظ´
Ò»Ö¾Ô¸ÄÏʦ´ó0703»¯Ñ§ 275Çóµ÷¼Á
ÒѾÓÐ4È˻ظ´
ÄÜÔ´»·¾³Ð²ÄÁÏÑо¿ÍÅ¶Ó ÕÐÊÕ ÐÂÄÜÔ´¡¢Ò±½ð¡¢²ÄÁÏ¡¢»¯¹¤¡¢»·¾³ µÈ¹¤¿ÆÀàÑо¿Éú
ÒѾÓÐ0È˻ظ´
Î人·ÄÖ¯´óѧ½ÌÓý²¿ÖصãʵÑéÊÒµ÷¼Á
ÒѾÓÐ0È˻ظ´
» ±¾Ö÷ÌâÏà¹Ø¼ÛÖµÌùÍÆ¼ö£¬¶ÔÄúͬÑùÓаïÖú:
ÖÐÒ©ÌáȡҺÈçºÎ¼òµ¥¡¢³¹µ×È¥³ý÷·ÖÊ£¿£¿~~~
ÒѾÓÐ11È˻ظ´
΢ÉúÎï·¢½Í£¬´úл²úÎïÌáÈ¡µÄ¼òµ¥ÊµÓõķ½·¨¡£
ÒѾÓÐ50È˻ظ´
Pro/E ×°ÅäʱÔõôÈÃÁã¼þÈÆÄ³Ò»ÖáÐýת45¶È
ÒѾÓÐ3È˻ظ´
È«¹úµÚ¶þ½ìÀíÂÛÓë¼ÆË㻯ѧÈí¼þMolpro MolcasÅàѵ°à
ÒѾÓÐ19È˻ظ´
Çë½ÌÓÃmolpro´òÓ¡Çâ·Ö×ÓÀë×ÓµÄÖØµþ»ý¾ØÕó¡¢µ¥µç×Ó»ý·Ö¾ØÕó¡¢Å¼¼«¾ØÕó
ÒѾÓÐ3È˻ظ´
ÌáÈ¡VASPµÄ²¨º¯Êý£¬»³ö°´½Ç¶¯Á¿×ÅÉ«µÄѤÀöÄÜ´ø½á¹¹
ÒѾÓÐ8È˻ظ´
MOLPROÓÅ»¯¼ÆËãΪʲôÈç´ËÉñÆæ£¿¼±°¡£¡
ÒѾÓÐ8È˻ظ´
ÇóÖú molproÔËÐгö´í£¡¼±
ÒѾÓÐ5È˻ظ´
¡¾ÌÖÂÛ¡¿molpro, molcasºÍgaussianµÄÓÅȱµã
ÒѾÓÐ3È˻ظ´
¡¾ÇóÖú³É¹¦¡¿supercellÖÐDOS¼ÆËãÈçºÎµÃµ½ºÏÀíµÄµçºÉÃܶȺͲ¨º¯Êý£¿
ÒѾÓÐ3È˻ظ´
¡¾ÇóÖú¡¿ÇëÎÊ£¬°ÑmolproºÍmolcas ×êÑÐ͸³¹Ö®ºó£¬ÄÜÓÐʲôÓô¦°¡£¿
ÒѾÓÐ9È˻ظ´
906980368
Ìú³æ (ÕýʽдÊÖ)
- Ó¦Öú: 0 (Ó×¶ùÔ°)
- ½ð±Ò: 3.1
- Ìû×Ó: 437
- ÔÚÏß: 95.1Сʱ
- ³æºÅ: 663743
- ×¢²á: 2008-11-27
- ÐÔ±ð: MM
- רҵ: Ô×ӺͷÖ×ÓÎïÀí
2Â¥2012-02-10 22:09:10
beefly
ר¼Ò¹ËÎÊ (Ö°Òµ×÷¼Ò)
µØ¹µÓÍÒ±Á¶×¨¼Ò
-

ר¼Ò¾Ñé: +458 - QCÇ¿Ìû: 12
- Ó¦Öú: 88 (³õÖÐÉú)
- ½ð±Ò: 13021.2
- É¢½ð: 27307
- ºì»¨: 300
- Ìû×Ó: 4673
- ÔÚÏß: 927.1Сʱ
- ³æºÅ: 408372
- ×¢²á: 2007-06-21
- ÐÔ±ð: GG
- רҵ: ÀíÂۺͼÆË㻯ѧ
- ¹ÜϽ: ¼ÆËãÄ£Äâ
|
ÎÄÏ×ÖÐÒ»°ã»á¸ø³öd¹ìµÀµÄ6¸öµÑ¿¨¶û²¨º¯ÊýÐÎʽ¡£ÓÉ6¸öµÑ¿¨¶û²¨º¯Êý×éºÏ³É5¸öÇòг²¨º¯ÊýÔÔòÉÏÓÐÎÞÇî¶àÖÖ·½Ê½£¬Ã»ÓÐͳһ¹æ¶¨¡£ Molpro£¬Gaussian£¬NBOµÈ³ÌÐòʹÓõÄÊÇ×î³£¼ûµÄÒ»ÖÖ×éºÏ·½Ê½£¬ÔÚNBO³ÌÐòµÄʹÓÃÊÖ²áÀïÓй«Ê½¡£¶øTurbomole£¬ORCA£¬Molcas£¬ACESµÈ³ÌÐòʹÓÃÆäËüµÄ×éºÏ·½Ê½¡£Óò»Í¬×éºÏ·½Ê½£¬µÃµ½µÄ²¨º¯ÊýÐÎʽÉÏ»áÓÐÇø±ð¡£ |

3Â¥2012-02-11 01:19:09














»Ø¸´´ËÂ¥
906980368