±±¾©Ê¯ÓÍ»¯¹¤Ñ§Ôº2026ÄêÑо¿ÉúÕÐÉú½ÓÊÕµ÷¼Á¹«¸æ
²é¿´: 1875  |  »Ø¸´: 14

ÒÀ·Æ¶ù

½ð³æ (ÕýʽдÊÖ)


[½»Á÷] BET

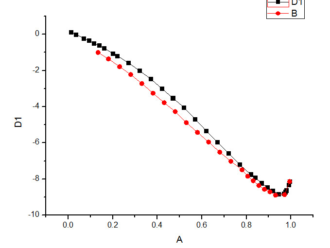
ΪʲôÎÒ²âµÄBETÊǸºÊýÄØ£¬µç¾µ¿´µÄÓкܶà¿×£¬²»ÖªµÀʲôԭÒòÄØ


»Ø¸´´ËÂ¥

» ²ÂÄãϲ»¶

» ÇÀ½ð±ÒÀ²£¡»ØÌû¾Í¿ÉÒԵõ½:

²é¿´È«²¿É¢½ðÌù

ÒÑÔÄ   »Ø¸´´ËÂ¥   ¹Ø×¢TA ¸øTA·¢ÏûÏ¢ ËÍTAºì»¨ TAµÄ»ØÌû

fdgudong

Ìú¸Ëľ³æ (ÕýʽдÊÖ)


¡ï ¡ï
ÒÀ·Æ¶ù(½ð±Ò+1):лл²ÎÓë
zxrno10(½ð±Ò+1): 2011-05-19 18:56:42
ÎÞ¿×£¬»òÕß¿×ÊDZտף¬²»¿É̽²â¡£
2Â¥2011-05-19 10:39:42
ÒÑÔÄ   »Ø¸´´ËÂ¥   ¹Ø×¢TA ¸øTA·¢ÏûÏ¢ ËÍTAºì»¨ TAµÄ»ØÌû

ÒÀ·Æ¶ù

½ð³æ (ÕýʽдÊÖ)


ÒýÓûØÌû:
Originally posted by fdgudong at 2011-05-19 10:39:42:
ÎÞ¿×£¬»òÕß¿×ÊDZտף¬²»¿É̽²â¡£

ÄÇÒ²²»ÄÜÊǸºÊý°¡£¬ÎØÎØ
3Â¥2011-05-19 10:41:22
ÒÑÔÄ   »Ø¸´´ËÂ¥   ¹Ø×¢TA ¸øTA·¢ÏûÏ¢ ËÍTAºì»¨ TAµÄ»ØÌû

xtuanai

½ð³æ (ÕýʽдÊÖ)


¡ï ¡ï
ÒÀ·Æ¶ù(½ð±Ò+1):лл²ÎÓë
ÒÀ·Æ¶ù(½ð±Ò+1): 2011-05-19 10:59:28
zxrno10(½ð±Ò+1): ллÌÖÂÛ¡£ 2011-05-19 18:57:43
Îü¸½Á¿³öÏÖ¸ºÖµ´ó²¿·Ö¶¼ÊÇÒÇÆ÷·½ÃæµÄÔ­Òò£¬±ÈÈçÂ©ÆøÖ®ÀàµÄ£¡½¨ÒéÖØ×ö£¡ÔÙÕߣ¬¸ù¾Ý×Ý×ø±êµÄÖµ£¬ÊýÖµ²»ÊǺܴ󣬽¨Òé¼Ó´óÑùÆ·Á¿£¡
4Â¥2011-05-19 10:49:46
ÒÑÔÄ   »Ø¸´´ËÂ¥   ¹Ø×¢TA ¸øTA·¢ÏûÏ¢ ËÍTAºì»¨ TAµÄ»ØÌû

ÒÀ·Æ¶ù

½ð³æ (ÕýʽдÊÖ)


ÒýÓûØÌû:
Originally posted by xtuanai at 2011-05-19 10:49:46:
Îü¸½Á¿³öÏÖ¸ºÖµ´ó²¿·Ö¶¼ÊÇÒÇÆ÷·½ÃæµÄÔ­Òò£¬±ÈÈçÂ©ÆøÖ®ÀàµÄ£¡½¨ÒéÖØ×ö£¡ÔÙÕߣ¬¸ù¾Ý×Ý×ø±êµÄÖµ£¬ÊýÖµ²»ÊǺܴ󣬽¨Òé¼Ó´óÑùÆ·Á¿£¡

ÑùÆ·Á¿´ó¸Å70mg¡£ÄǸù¾ÝÄúµÄ¾­Ñ飬Èç¹û±È±íÃæ»ýÕæ²»´ó£¬ÄÇÊÇʲôԭÒòÄØ
5Â¥2011-05-19 10:59:21
ÒÑÔÄ   »Ø¸´´ËÂ¥   ¹Ø×¢TA ¸øTA·¢ÏûÏ¢ ËÍTAºì»¨ TAµÄ»ØÌû

xtuanai

½ð³æ (ÕýʽдÊÖ)


¡ï ¡ï ¡ï ¡ï ¡ï
zhangwengui330(½ð±Ò+4): ллӦÖú£¡ 2011-05-19 14:11:06
zxrno10(½ð±Ò+1): ллӦÖú¡£ 2011-05-19 18:58:01
ÒýÓûØÌû:
Originally posted by ÒÀ·Æ¶ù at 2011-05-19 10:59:21:
ÑùÆ·Á¿´ó¸Å70mg¡£ÄǸù¾ÝÄúµÄ¾­Ñ飬Èç¹û±È±íÃæ»ýÕæ²»´ó£¬ÄÇÊÇʲôԭÒòÄØ

70mgµÄÑùÆ·Á¿¶ÔÓÚ³£¹æµÄÑùÆ·ÒѾ­¹»ÁË£¬±È±íÃæÐ¡¾ÍÓпÉÄÜÊǺÍÑùÆ·µÄÐÔÖÊÓйØÁË£¡¾ÍÏñÂ¥ÉϵÄÈËËù˵£¬¿×µÄÖÖÀàÓкܶàÖÖ£¬Óпª¿×£¬Óбտף¡²»ÊÇËùÓеĿ׶¼ÄÜÓõªÆøÎïÀíÎü¸½²âÁ¿µÄ£»ÔÙÕߣ¬¿×¾¶Ò²ÓкܴóµÄ¹ØÏµ£¬N2·Ö×ÓµÄºá½ØÃæ»ýΪ0.167nm×óÓÒ£¬Èç¹û²ÄÁϵĿ׾¶Ð¡ÓÚ´ËÖµ£¬µªÆøÎïÀíÎü¸½²â±È±íÃæ»ý¿Ï¶¨¾ÍÓкܴóµÄÎó²îÁË¡£±È±íÃæ»ýµÄ²âÁ¿ÓÉÓÚÎÒÃDz»Äܵõ½ÕæÖµ£¬ËùÒÔÖ»ÄÜÏòÕæÖµ¿¿½ü£¬Õâ¸ö¹ý³Ì¾ÍÐèÒªºÜ´óµÄ¹¦Á¦ÁË£¡
6Â¥2011-05-19 13:27:41
ÒÑÔÄ   »Ø¸´´ËÂ¥   ¹Ø×¢TA ¸øTA·¢ÏûÏ¢ ËÍTAºì»¨ TAµÄ»ØÌû

xxqm

ľ³æ (ÖøÃûдÊÖ)


¡ï
ÒÀ·Æ¶ù(½ð±Ò+1):лл²ÎÓë
¹À¼ÆÊÇÉè±¸Â©ÆøÁ˰É
ÖØÐ²âÊÔÒ»ÏÂ
7Â¥2011-05-19 15:08:51
ÒÑÔÄ   »Ø¸´´ËÂ¥   ¹Ø×¢TA ¸øTA·¢ÏûÏ¢ ËÍTAºì»¨ TAµÄ»ØÌû

jingma0

½ð³æ (СÓÐÃûÆø)


¡ï
ÒÀ·Æ¶ù(½ð±Ò+1):лл²ÎÓë
ÏÔÈ»ÊDzâÊÔÉ豸µÄÎÊÌâ
8Â¥2011-05-20 09:37:51
ÒÑÔÄ   »Ø¸´´ËÂ¥   ¹Ø×¢TA ¸øTA·¢ÏûÏ¢ ËÍTAºì»¨ TAµÄ»ØÌû

fdgudong

Ìú¸Ëľ³æ (ÕýʽдÊÖ)


ÒýÓûØÌû:
Originally posted by ÒÀ·Æ¶ù at 2011-05-19 10:41:22:
ÄÇÒ²²»ÄÜÊǸºÊý°¡£¬ÎØÎØ

Òª¿´Í¼µÄ×Ý×ø±ê£¬ËäÈ»ÊǸºÊý£¬µ«ÊýÖµºÜС£¬ÍêÈ«ÔÚÎó²î·¶Î§ÒÔÄÚ¡£Èç¹ûÊÇÂ©ÆøÔì³É£¬¿Ï¶¨²»»áֻ©¼¸¸öºÁÉý/g
9Â¥2011-05-20 16:25:41
ÒÑÔÄ   »Ø¸´´ËÂ¥   ¹Ø×¢TA ¸øTA·¢ÏûÏ¢ ËÍTAºì»¨ TAµÄ»ØÌû

hxp207

ľ³æ (ÖøÃûдÊÖ)


¡ï
ÒÀ·Æ¶ù(½ð±Ò+1):лл²ÎÓë
¹Ü·ûÓдµÉ¨¸É¾»»òÕßÂ©Æø£¬½¨ÒéÊÖ¶¯¶à´µÉ¨£¬Öû»¼¸´ÎÆøÌ壬ÎÒÅöµ½¹ýÀàËÆµÄÎÊÌâ
10Â¥2011-05-20 16:52:19
ÒÑÔÄ   »Ø¸´´ËÂ¥   ¹Ø×¢TA ¸øTA·¢ÏûÏ¢ ËÍTAºì»¨ TAµÄ»ØÌû

ÒÀ·Æ¶ù

½ð³æ (ÕýʽдÊÖ)


ÒýÓûØÌû:
Originally posted by fdgudong at 2011-05-20 16:25:41:
Òª¿´Í¼µÄ×Ý×ø±ê£¬ËäÈ»ÊǸºÊý£¬µ«ÊýÖµºÜС£¬ÍêÈ«ÔÚÎó²î·¶Î§ÒÔÄÚ¡£Èç¹ûÊÇÂ©ÆøÔì³É£¬¿Ï¶¨²»»áֻ©¼¸¸öºÁÉý/g

ÄǾÍÊÇÎÒµÄBET±¾Éí¾ÍûÓУ¿
11Â¥2011-05-20 17:42:24
ÒÑÔÄ   »Ø¸´´ËÂ¥   ¹Ø×¢TA ¸øTA·¢ÏûÏ¢ ËÍTAºì»¨ TAµÄ»ØÌû

ÒÀ·Æ¶ù

½ð³æ (ÕýʽдÊÖ)


ÒýÓûØÌû:
Originally posted by hxp207 at 2011-05-20 16:52:19:
¹Ü·ûÓдµÉ¨¸É¾»»òÕßÂ©Æø£¬½¨ÒéÊÖ¶¯¶à´µÉ¨£¬Öû»¼¸´ÎÆøÌ壬ÎÒÅöµ½¹ýÀàËÆµÄÎÊÌâ

ÄÇ´¦ÀíºÃÖ®ºó£¬ÄãµÄBET´ó¸Å±ä¶àÉÙÁ˰¡£¡
12Â¥2011-05-20 17:43:23
ÒÑÔÄ   »Ø¸´´ËÂ¥   ¹Ø×¢TA ¸øTA·¢ÏûÏ¢ ËÍTAºì»¨ TAµÄ»ØÌû

fdgudong

Ìú¸Ëľ³æ (ÕýʽдÊÖ)


ÒýÓûØÌû:
Originally posted by ÒÀ·Æ¶ù at 2011-05-20 17:42:24:
ÄǾÍÊÇÎÒµÄBET±¾Éí¾ÍûÓУ¿

Ö»ÄÜ˵ÕâÖÖ¿ÉÄÜÐԷdz£´ó¡£
´ËÍ⣬Ñϸñ½²ÄãÕâ¸öͼ²»ÄܽÐ×öBET£¬Ö»ÊǵªÆøÎü¸½-ÍѸ½µÈÎÂÏß¡£BETÊǼÆËã±È±íÃæ»ýµÄ·½·¨Ö®Ò»£¬Ëü´æÔÚÒ»¶¨µÄÄ£ÐͼÙÉ裬²¢²»ÊʺÏËùÓеIJÄÁÏ¡£
13Â¥2011-05-20 19:22:31
ÒÑÔÄ   »Ø¸´´ËÂ¥   ¹Ø×¢TA ¸øTA·¢ÏûÏ¢ ËÍTAºì»¨ TAµÄ»ØÌû

jluxiaoxi

ľ³æ (ÕýʽдÊÖ)


¡ï
ÒÀ·Æ¶ù(½ð±Ò+1):лл²ÎÓë
Ã÷ÏÔµÄÒÇÆ÷»µÁ˰¡£¬²»¹ÜÓÐûÓпף¬ÇúÏßÒ²²»ÊÇÕâ¸öÑù×ӵģ¬ÕâÑùµÄÇúÏßÁ¬BETÔ­Àí¶¼²»·ûºÏ£¬Ì¸²»ÉÏBETÕâһ˵
14Â¥2011-05-20 20:52:42
ÒÑÔÄ   »Ø¸´´ËÂ¥   ¹Ø×¢TA ¸øTA·¢ÏûÏ¢ ËÍTAºì»¨ TAµÄ»ØÌû

hxp207

ľ³æ (ÖøÃûдÊÖ)


ÒýÓûØÌû:
Originally posted by ÒÀ·Æ¶ù at 2011-05-20 17:43:23:
ÄÇ´¦ÀíºÃÖ®ºó£¬ÄãµÄBET´ó¸Å±ä¶àÉÙÁ˰¡£¡

Ê×ÏÈÀäÈÈ×ÔÓɿռä¾ÍÏà²îºÜ´ó£¬BET±ÈÕý³£µÄСºÜ¶à£¬ÀýÈçÕý³£µÄÊÇ100£¬´¦Àí²»ºÃµÄ»°£¬¾Í20¶à¡£Õâ¸öÒª¿´ÄãϵͳºÍÆøÏ߹ܵÀµÄ³¤¶ÌÁË¡£
15Â¥2011-05-21 13:58:08
ÒÑÔÄ   »Ø¸´´ËÂ¥   ¹Ø×¢TA ¸øTA·¢ÏûÏ¢ ËÍTAºì»¨ TAµÄ»ØÌû
Ïà¹Ø°æ¿éÌø×ª ÎÒÒª¶©ÔÄÂ¥Ö÷ ÒÀ·Æ¶ù µÄÖ÷Ìâ¸üÐÂ
×î¾ßÈËÆøÈÈÌûÍÆ¼ö [²é¿´È«²¿] ×÷Õß »Ø/¿´ ×îºó·¢±í
[¿¼ÑÐ] 348·Ö»·¾³¹¤³Ì¡¤µ÷¼Á +5 ÎâÑå׿24k 2026-04-03 5/250 2026-04-03 17:46 by jpheobus
[¿¼ÑÐ] 11408 359·Ö Çóµ÷¼Á +4 yfever 2026-03-28 4/200 2026-04-03 16:43 by asdfzly
[¿¼ÑÐ] 320·ÖÈ˹¤ÖÇÄܵ÷¼Á +4 Õñ¡ªTZ 2026-04-03 4/200 2026-04-03 15:03 by Íõ´ó´óÌì
[¿¼ÑÐ] »úеר˶297 +3 Afksy 2026-04-03 3/150 2026-04-03 14:24 by 1753564080
[¿¼ÑÐ] 335Çóµ÷¼Á +5 ÉòÇåÁ§ 2026-04-03 5/250 2026-04-03 12:03 by wxiongid
[¿¼ÑÐ] ²ÄÁϵ÷¼Á +8 ÀÁÑòÑòÇáÖÃÓñÍÎ 2026-04-02 8/400 2026-04-02 22:03 by liu823948201
[¿¼ÑÐ] 302Çóµ÷¼ÁÒ»Ö¾Ô¸»ªÖÐʦ·¶´óѧ +7 С½­Ð¡½­½­½­ 2026-04-02 7/350 2026-04-02 21:48 by macy2011
[¿¼ÑÐ] »·¾³¹¤³Ì297·ÖÇóµ÷¼ÁÒ»Ö¾Ô¸º¼¸ßÔº +15 GENJIOW 2026-03-31 16/800 2026-04-02 17:56 by cyh¡ª315
[¿¼ÑÐ] 298ÇóBÇøµ÷¼Á +4 zzz£¬£¬r 2026-04-02 5/250 2026-04-02 12:17 by ÍÁľ˶ʿÕÐÉú
[¿¼ÑÐ] 266·Ö£¬Ò»Ö¾Ô¸µçÆø¹¤³Ì£¬±¾¿Æ²ÄÁÏ£¬Çó²ÄÁÏרҵµ÷¼Á +10 ÍÛºôºßºôºß 2026-04-01 11/550 2026-04-02 11:31 by lnilvy
[¿¼ÑÐ] Ò»Ö¾Ô¸9³õÊÔ366 ±¾Ë«·ÇÇóµ÷¼Á +4 ÔËÆøÀ´µÃÈôÓÐËÆÎ 2026-04-02 4/200 2026-04-02 09:56 by guanxin1001
[¿¼ÑÐ] ²ÄÁϵ÷¼Á +12 Ò»ÑùYWY 2026-04-01 12/600 2026-04-02 00:21 by °ÙÃë¹âÄê
[¿¼ÑÐ] Çóµ÷¼Á0703 +5 ÖܼÎÒ¢ 2026-03-31 8/400 2026-04-01 20:32 by ltltkkk
[¿¼ÑÐ] 291Çóµ÷¼Á +3 ÃÔÃÉľľ 2026-04-01 4/200 2026-04-01 11:07 by ÄæË®³Ë·ç
[¿¼ÑÐ] Ò»Ö¾Ô¸»ªÄÏʦ·¶361·Ö£¬»¯Ñ§Çóµ÷¼Á +4 Nicole88888 2026-04-01 4/200 2026-04-01 10:08 by ÌÆãå¶ù
[¿¼ÑÐ] 254²ÄÁÏÓ뻯¹¤Çóµ÷¼Á +3 º²¶¬ÁÖéª 2026-03-30 4/200 2026-03-31 17:53 by yishunmin
[¿¼ÑÐ] 315Çóµ÷¼Á +6 akie... 2026-03-28 7/350 2026-03-31 16:48 by asdfzly
[¿¼ÑÐ] Çó»¯Ñ§µ÷¼Á +12 wulanna 2026-03-28 12/600 2026-03-31 16:38 by 690616278
[¿¼ÑÐ] 081200-11408-276ѧ˶Çóµ÷¼Á +4 ´Þwj 2026-03-31 4/200 2026-03-31 11:56 by jp9609
[¿¼ÑÐ] 279Çóµ÷¼Á +4 µûÎèÇáÈÆ 2026-03-29 4/200 2026-03-29 09:45 by laoshidan
ÐÅÏ¢Ìáʾ
ÇëÌî´¦ÀíÒâ¼û