| 查看: 218 | 回复: 1 | ||
jiaqiaojuan金虫 (正式写手)
|
[求助]
看文献时一句话 a set of N discrete rate equations 没看懂
|
|
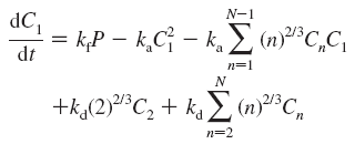
a set of N discrete rate equations of clusters, 后面跟了一个公式是dc1/dt=.....+求和项,具体公式见图片。 因为不是学数学的,也没回忆起来大学学过。所以恳请各位专业人士指点一二。 [ Last edited by jiaqiaojuan on 2011-5-19 at 09:39 ] |
» 猜你喜欢
求调剂 有机化学考研356分
已经有4人回复
0703 化学 求调剂,一志愿山东大学 342 分
已经有4人回复
086000生物与医药调剂
已经有7人回复
305求调剂
已经有7人回复
348求调剂
已经有3人回复
332求调剂
已经有6人回复
各位老师好,我的一志愿为北京科技大学085601材料专硕
已经有6人回复
085600 材料与化工 329分求调剂
已经有10人回复
356求调剂
已经有3人回复
一志愿武汉理工,总分321,英一数二,求老师收留。
已经有7人回复
» 本主题相关价值贴推荐,对您同样有帮助:
汉译英一句话
已经有2人回复
翻译一句话,不是很难 急
已经有2人回复
endnote X5 版中从web of science 中自动导入文献,出现filter怎么办
已经有5人回复
【求助】求助polyrate的安装
已经有10人回复
参考文献格式求助
已经有6人回复
菜鸟求助:论文中引用国际会议文献的格式
已经有4人回复
【资源】自动引用参考文献方法之n
已经有7人回复
jiaqiaojuan
金虫 (正式写手)
- 应助: 0 (幼儿园)
- 金币: 801.1
- 散金: 514
- 红花: 2
- 帖子: 416
- 在线: 140.1小时
- 虫号: 413070
- 注册: 2007-06-26
- 性别: MM
- 专业: 胶体与界面化学
2楼2011-05-19 11:05:10














回复此楼