Znn3bq.jpeg
²é¿´: 573  |  »Ø¸´: 2

wxxvip

Òø³æ (СÓÐÃûÆø)

[ÇóÖú] ¶Ô̬ÃܶȱȽÏÊìϤµÄÅóÓѰïæ¿´¿´£¬Ð»Ð»°º~~

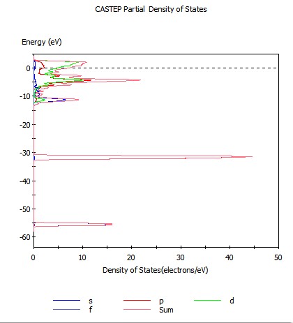
µÚÒ»¸ö̬ÃܶÈͼºÃÏñ×ܵĺͷֵÄÔÚÒ»Æð£¬¿´²»Çå³þ£¬ÈçºÎÓÉÕâ¸öͼµÃµ½ÏÂÃæÇåÎúµÄ¸÷¸öÔ­×ӵķÖ̬Ãܶȣ¬ÔÚCASTEPÈí¼þÀï¿ÉÒÔÖ±½Ó »­³öÀ´Âð£¿


»Ø¸´´ËÂ¥

» ²ÂÄãϲ»¶

» ±¾Ö÷ÌâÏà¹Ø¼ÛÖµÌùÍÆ¼ö£¬¶ÔÄúͬÑùÓаïÖú:

ŒÅË¿ÖÕÓгöÍ·ÈÕ£¬Ä¾¶úûÓлطÛʱ
ÒÑÔÄ   »Ø¸´´ËÂ¥   ¹Ø×¢TA ¸øTA·¢ÏûÏ¢ ËÍTAºì»¨ TAµÄ»ØÌû

jdy19862002

½ð³æ (ÕýʽдÊÖ)

¡¾´ð°¸¡¿Ó¦Öú»ØÌû

wxxvip(½ð±Ò+5): ÔÚ3DÄ£ÐÍÀïÑ¡ÖУ¿ 2011-05-18 11:52:56
ÏȰÑijһÀàÔ­×ÓÑ¡ÖУ¬ÔÚ·ÖÎöʱ£¬Ñ¡Ôñs p d f ¾Í¿ÉÒÔ»æÖÆÁË
2Â¥2011-05-18 11:03:27
ÒÑÔÄ   »Ø¸´´ËÂ¥   ¹Ø×¢TA ¸øTA·¢ÏûÏ¢ ËÍTAºì»¨ TAµÄ»ØÌû

jdy19862002

½ð³æ (ÕýʽдÊÖ)

¡¾´ð°¸¡¿Ó¦Öú»ØÌû

wxxvip(½ð±Ò+15): 1 2011-05-19 11:01:10
ÁíÍâ×îºÃÓÃorigin×÷ͼ
3Â¥2011-05-18 11:04:00
ÒÑÔÄ   »Ø¸´´ËÂ¥   ¹Ø×¢TA ¸øTA·¢ÏûÏ¢ ËÍTAºì»¨ TAµÄ»ØÌû
Ïà¹Ø°æ¿éÌø×ª ÎÒÒª¶©ÔÄÂ¥Ö÷ wxxvip µÄÖ÷Ìâ¸üÐÂ
×î¾ßÈËÆøÈÈÌûÍÆ¼ö [²é¿´È«²¿] ×÷Õß »Ø/¿´ ×îºó·¢±í
[¿¼ÑÐ] ÉúÎïѧ308·ÖÇóµ÷¼Á£¨Ò»Ö¾Ô¸»ª¶«Ê¦´ó£©×ö¹ý·Ö×ÓʵÑé +7 ÏàÐűػá¹ââÍòÕ 2026-04-07 8/400 2026-04-10 16:53 by wrnwrn
[¿¼ÑÐ] 272·Ö²ÄÁÏ×ÓÇóµ÷¼Á +17 Loy0361 2026-04-10 23/1150 2026-04-10 16:35 by 6781022
[¿¼ÑÐ] Ò»Ö¾Ô¸¾©Çø985£¬085401µç×ÓÐÅÏ¢£¬±¾¿Æµç×ÓÐÅÏ¢ +3 Ñô¹â¿ªÀʵÄÄк¢ 2026-04-10 3/150 2026-04-10 16:29 by sophia_93
[¿¼ÑÐ] 269Çóµ÷¼Á +10 °¡°¡ÎÒÎÒ 2026-04-07 10/500 2026-04-10 10:38 by ¸ßά´º
[¿¼ÑÐ] ²ÄÁϸ´ÊÔÇóµ÷¼Á +20 xhhdjdjsjks 2026-04-09 20/1000 2026-04-10 10:25 by ËïСС12457
[¿¼ÑÐ] µ÷¼Á +19 ²»·ê´º 2026-04-05 20/1000 2026-04-10 10:15 by may_ÐÂÓî
[¿¼ÑÐ] 348Çóµ÷¼Á +3 candyyyi 2026-04-09 3/150 2026-04-09 17:20 by ¶ÎΰÑÞ
[¿¼ÑÐ] ±¾¿ÆÖ£ÖÝ´óѧ£¬Ò»Ö¾Ô¸»ª¶«Ê¦·¶´óѧ282Çóµ÷¼Á +23 Ðܸçxtk 2026-04-07 26/1300 2026-04-09 17:17 by 18446523
[¿¼ÑÐ] 085600²ÄÁÏÓ뻯¹¤£¬Çóµ÷¼Á +11 won_qii 2026-04-07 11/550 2026-04-09 17:03 by luoyongfeng
[¿¼ÑÐ] Çóµ÷¼Á²ÄÁÏ¿ÆÑ§Ó빤³ÌÒ»Ö¾Ô¸985³õÊÔ365·Ö +5 ²Ä»¯Àî¿É 2026-04-08 5/250 2026-04-09 17:00 by Lilly_Li
[¿¼ÑÐ] ²ÄÁϵ÷¼Á +14 Ò»ÑùYWY 2026-04-05 15/750 2026-04-09 13:36 by ¹ÊÈË??
[¿¼ÑÐ] 334Çóµ÷¼Á +16 Riot2025 2026-04-08 17/850 2026-04-09 09:28 by wdyheheeh
[¿¼ÑÐ] ²ÄÁϵ÷¼Á +11 Ò»ÑùYWY 2026-04-07 11/550 2026-04-07 15:13 by shdgaomin
[¿¼ÑÐ] »ªÄÏÀí¹¤0703»¯Ñ§£¬×Ü·Ö336Çóµ÷¼Á +10 ÊÖ»úÓû§ 2026-04-03 11/550 2026-04-06 22:20 by michael2011
[¿¼ÑÐ] 297·Ö083200ÇóÖú +9 aekx 2026-04-05 9/450 2026-04-06 20:57 by flysky1234
[¿¼ÑÐ] 327Çóµ÷¼Á +4 ʰ¹âÈÎȾ 2026-04-05 4/200 2026-04-05 20:16 by ÄϺ½~ÍòÀÏʦ
[¿¼ÑÐ] 284Çóµ÷¼Á +7 Ðìͬѧ_001 2026-04-04 13/650 2026-04-05 17:19 by yulian1987
[¿¼ÑÐ] 272Çóµ÷¼Á +4 µçÆøÀî 2026-04-05 4/200 2026-04-05 10:41 by lbsjt
[¿¼ÑÐ] 290Çóµ÷¼Á +7 luoziheng 2026-04-04 7/350 2026-04-04 23:17 by lqwchd
[¿¼ÑÐ] Ò»Ö¾Ô¸»¦985£¬326·ÖÇóµ÷¼Á +3 Áõīī 2026-04-03 3/150 2026-04-04 11:16 by ±¯É˵ÄÓóÍ·
ÐÅÏ¢Ìáʾ
ÇëÌî´¦ÀíÒâ¼û