| ²é¿´: 826 | »Ø¸´: 5 | ||
| ±¾Ìû²úÉú 1 ¸ö ·ÒëEPI £¬µã»÷ÕâÀï½øÐв鿴 | ||
fengye-happyгæ (СÓÐÃûÆø)
|
[ÇóÖú]
Ò»»¯ºÏÎïÃû³Æ·ÒëÇóÖú
|
|
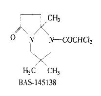
BAS-145138 £¨ÊÇÒ»ÖÖ³ý²Ý¼Á°²È«¼Á£©£º1-dichloroacetyl-hexahydro-3,3,8¦Á-trimethyl-pyrrolo(1,2¦Á)pyrimidin-6(2H)-one£¬Çë´ó¼Ò¶à°ï°ïæÁË£¡ |
» ²ÂÄãϲ»¶
285Çóµ÷¼Á
ÒѾÓÐ15È˻ظ´
325 µ÷¼Á
ÒѾÓÐ5È˻ظ´
Çóµ÷¼Á Ò»Ö¾Ô¸Î÷ÄϽ»Í¨´óѧ085701»·¾³¹¤³Ì 282·Ö
ÒѾÓÐ14È˻ظ´
Ò»Ö¾Ô¸ÄϿƴóÉúÎïѧ297·Ö£¬Çóµ÷¼ÁÍÆ¼ö
ÒѾÓÐ8È˻ظ´
288»·¾³×¨Ë¶,Çóµ÷²ÄÁÏ·½Ïò
ÒѾÓÐ27È˻ظ´
³õÊÔ301£¬´úÂë085701»·¾³¹¤³Ì£¬±¾Ë¶Ò»Ö£¬ËÄÁù¼¶Òѹý£¬ÓжþÇøÒ»×÷£¬¹²·¢±í5ƪÂÛÎÄ
ÒѾÓÐ12È˻ظ´
Ò»Ö¾Ô¸»ª¶«Àí¹¤085601²ÄÁϹ¤³Ì303·ÖÇóµ÷¼Á
ÒѾÓÐ8È˻ظ´
Çóµ÷¼Á
ÒѾÓÐ3È˻ظ´
372·Ö²ÄÁÏÓ뻯¹¤£¨085600£©Ó¢¶þÊý¶þÇóµ÷¼Á
ÒѾÓÐ3È˻ظ´
ÉúÎïÓëÒ½Ò©273Çóµ÷¼Á
ÒѾÓÐ9È˻ظ´
tj60436228
½ð³æ (СÓÐÃûÆø)
- ·ÒëEPI: 1
- Ó¦Öú: 0 (Ó×¶ùÔ°)
- ½ð±Ò: 557.7
- É¢½ð: 9
- Ìû×Ó: 54
- ÔÚÏß: 34.4Сʱ
- ³æºÅ: 810146
- ×¢²á: 2009-07-16
- ÐÔ±ð: MM
- רҵ: ÓлúºÏ³É
2Â¥2011-05-16 17:21:11
chemistry2228
ͳæ (СÓÐÃûÆø)
- ·ÒëEPI: 37
- Ó¦Öú: 0 (Ó×¶ùÔ°)
- ½ð±Ò: 619.8
- ºì»¨: 1
- Ìû×Ó: 232
- ÔÚÏß: 99.1Сʱ
- ³æºÅ: 756097
- ×¢²á: 2009-04-23
- ÐÔ±ð: GG
- רҵ: Óлú·Ö×Ó¹¦ÄܲÄÁÏ»¯Ñ§
3Â¥2011-05-16 21:47:05
chemistry2228
ͳæ (СÓÐÃûÆø)
- ·ÒëEPI: 37
- Ó¦Öú: 0 (Ó×¶ùÔ°)
- ½ð±Ò: 619.8
- ºì»¨: 1
- Ìû×Ó: 232
- ÔÚÏß: 99.1Сʱ
- ³æºÅ: 756097
- ×¢²á: 2009-04-23
- ÐÔ±ð: GG
- רҵ: Óлú·Ö×Ó¹¦ÄܲÄÁÏ»¯Ñ§
4Â¥2011-05-16 21:48:06
chemistry2228
ͳæ (СÓÐÃûÆø)
- ·ÒëEPI: 37
- Ó¦Öú: 0 (Ó×¶ùÔ°)
- ½ð±Ò: 619.8
- ºì»¨: 1
- Ìû×Ó: 232
- ÔÚÏß: 99.1Сʱ
- ³æºÅ: 756097
- ×¢²á: 2009-04-23
- ÐÔ±ð: GG
- רҵ: Óлú·Ö×Ó¹¦ÄܲÄÁÏ»¯Ñ§
5Â¥2011-05-16 21:53:45
fengye-happy
гæ (СÓÐÃûÆø)
- Ó¦Öú: 0 (Ó×¶ùÔ°)
- ½ð±Ò: 408
- Ìû×Ó: 73
- ÔÚÏß: 50Сʱ
- ³æºÅ: 975947
- ×¢²á: 2010-03-19
- רҵ: ÓлúºÏ³É
6Â¥2011-05-17 19:53:54














»Ø¸´´ËÂ¥