24СʱÈÈÃŰæ¿éÅÅÐаñ    

Znn3bq.jpeg
²é¿´: 2551  |  »Ø¸´: 4

gyjia

гæ (СÓÐÃûÆø)

[ÇóÖú] ÈçºÎÀûÓÃDSCÇúÏß¼ÆËã¾§»¯Ìå»ý·ÖÊý

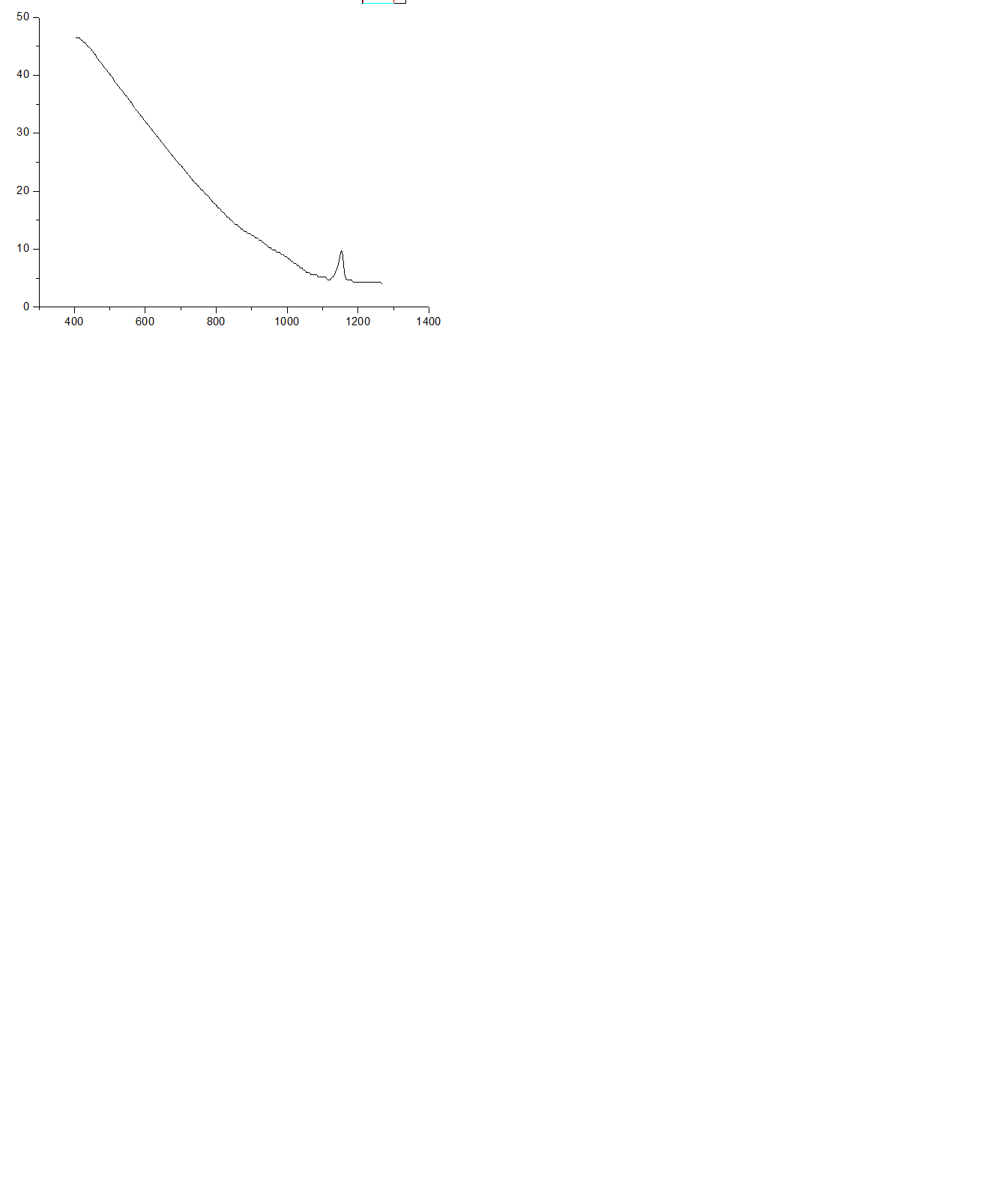
Äõ½DSCÊý¾Ýºó£¨ÈçͼËùʾ£©£¬ÈçºÎ¼ÆËã¾§»¯Ìå»ý·ÖÊý£¿Ö÷ÒªÊDz»ÖªµÀÈçºÎÇó·ÅÈÈ·åµÄ×ÜÃæ»ý¡£Çó·åÃæ»ýµÄʱºòÐèÒª½«ÇãбµÄ»ùÏß±ä³ÉˮƽµÄÂð£¿
»Ø¸´´ËÂ¥

» ²ÂÄãϲ»¶

» ±¾Ö÷ÌâÏà¹Ø¼ÛÖµÌùÍÆ¼ö£¬¶ÔÄúͬÑùÓаïÖú:

ÒÑÔÄ   »Ø¸´´ËÂ¥   ¹Ø×¢TA ¸øTA·¢ÏûÏ¢ ËÍTAºì»¨ TAµÄ»ØÌû

fengleba

Òø³æ (ÖøÃûдÊÖ)

¡¾´ð°¸¡¿Ó¦Öú»ØÌû

¡ï
»ÓÀáÌìʹ(½ð±Ò+1): ¹ÄÀøÌáÎÊ 2011-05-16 16:37:23
gyjia(½ð±Ò+1): лл 2011-05-16 18:49:52
origin×÷ͼÄܹ»µÃµ½»ý·ÖÃæ»ý£¬µ«ÊÇÈçºÎÀûÓÃÎü·ÅÈÈÁ¿¼ÆËã¾§»¯Ìå»ý¾Í²»ÖªµÀÁË¡£Í¬ÎÊ¡£
ÕÐÆ¸µØµã£ºÉòÑô¡£http://www.penhuiji88.com/cn
2Â¥2011-05-16 16:09:33
ÒÑÔÄ   »Ø¸´´ËÂ¥   ¹Ø×¢TA ¸øTA·¢ÏûÏ¢ ËÍTAºì»¨ TAµÄ»ØÌû

gyjia

гæ (СÓÐÃûÆø)

µ«ÊÇ»ý·Ö֮ǰÐèÒª½«»ùÏß´¦Àí³ÉˮƽµÄÂð£¿
3Â¥2011-05-16 16:35:20
ÒÑÔÄ   »Ø¸´´ËÂ¥   ¹Ø×¢TA ¸øTA·¢ÏûÏ¢ ËÍTAºì»¨ TAµÄ»ØÌû

fengleba

Òø³æ (ÖøÃûдÊÖ)

originÖÐÇóÃæ»ýÓв»Í¬·½·¨£¬ÍøÉÏ¿ÉÒÔËѵ½µÄ¡£Äã¿´¿´¾ÍÃ÷°×ÁË¡£
ÕÐÆ¸µØµã£ºÉòÑô¡£http://www.penhuiji88.com/cn
4Â¥2011-05-16 17:05:46
ÒÑÔÄ   »Ø¸´´ËÂ¥   ¹Ø×¢TA ¸øTA·¢ÏûÏ¢ ËÍTAºì»¨ TAµÄ»ØÌû

gyjia

гæ (СÓÐÃûÆø)

¼ÆËã¾§»¯Ìå»ý·ÖÊýµÄ¹«Ê½ÈçÏÂ

5Â¥2011-05-16 18:51:50
ÒÑÔÄ   »Ø¸´´ËÂ¥   ¹Ø×¢TA ¸øTA·¢ÏûÏ¢ ËÍTAºì»¨ TAµÄ»ØÌû
Ïà¹Ø°æ¿éÌø×ª ÎÒÒª¶©ÔÄÂ¥Ö÷ gyjia µÄÖ÷Ìâ¸üÐÂ
×î¾ßÈËÆøÈÈÌûÍÆ¼ö [²é¿´È«²¿] ×÷Õß »Ø/¿´ ×îºó·¢±í
[¿¼ÑÐ] Ò»Ö¾Ô¸211£¬»¯Ñ§Ñ§Ë¶£¬310·Ö£¬±¾¿ÆÖصãË«·Ç£¬Çóµ÷¼Á +16 ŬÁ¦·Ü¶·112 2026-04-06 19/950 2026-04-10 21:20 by zhouxiaoyu
[¿¼ÑÐ] 283Çóµ÷¼Á +21 ÄǸöàà×Ó 2026-04-09 21/1050 2026-04-10 21:18 by zhouxiaoyu
[¿¼ÑÐ] ²ÄÁϹ¤³ÌÈÕÓÉúÇóµ÷¼Á +5 0856?µ÷¼Á 2026-04-10 5/250 2026-04-10 20:45 by yukihao
[¿¼ÑÐ] 307Çóµ÷¼Á +8 tzq94092 2026-04-10 8/400 2026-04-10 17:33 by 286640313
[¿¼ÑÐ] Ò»Ö¾Ô¸¾©Çø985£¬085401µç×ÓÐÅÏ¢£¬±¾¿Æµç×ÓÐÅÏ¢ +3 Ñô¹â¿ªÀʵÄÄк¢ 2026-04-10 3/150 2026-04-10 16:29 by sophia_93
[¿¼ÑÐ] 0854Çóµ÷¼Á +5 assdll 2026-04-05 5/250 2026-04-10 15:32 by ¸ßά´º
[¿¼ÑÐ] һ־Ը³¶«´óѧ071000ÉúÎïѧѧ˶³õÊÔ·ÖÊý276Çóµ÷¼Á +20 Ľ¾øcc 2026-04-09 24/1200 2026-04-10 10:22 by xujun0624
[¿¼ÑÐ] ²ÄÁÏר˶µ÷¼Á +16 ¹þ¹þ¹þºðºðºð¹þ 2026-04-07 17/850 2026-04-09 21:16 by wutongshun
[¿¼ÑÐ] 269µç×ÓÐÅÏ¢Çóµ÷¼Á£¬¿Éתרҵ +9 ¶À×Ãwl 2026-04-06 9/450 2026-04-09 20:55 by laoshidan
[¿¼ÑÐ] ¿¼Ñе÷¼Á-²ÄÁÏÀà-284 +28 Ïë»»ÊÖ»ú²»Ïë½âÊ 2026-04-08 28/1400 2026-04-09 20:08 by µ¹Êý321?
[¿¼ÑÐ] ÉúÎïѧµ÷¼Á£¬Ò»Ö¾Ô¸Î÷ÄÏ´óѧ348£¬TopÆÚ¿¯Ò»Çø¶þ×÷¡¢¶þÇøÈý×÷£¬ÈýµÈ½±Ñ§½ðÈý´Î +4 candyyyi 2026-04-09 4/200 2026-04-09 18:39 by l_paradox
[¿¼ÑÐ] 312Çóµ÷¼Á +3 Àîºè·É·É 2026-04-06 3/150 2026-04-09 17:32 by wp06
[¿¼ÑÐ] 311Çóµ÷¼Á +6 surte 2026-04-08 13/650 2026-04-09 14:00 by surte
[¿¼ÑÐ] Èí¼þ¹¤³ÌÇóµ÷¼Á22Èí¹¤296·ÖÇóµ÷¼Á£¬½ÓÊÜ¿çµ÷ +4 yangchen2017 2026-04-08 5/250 2026-04-08 21:56 by ÍÁľ˶ʿÕÐÉú
[¿¼ÑÐ] »¯Ñ§0703-Ò»Ö¾Ô¸211-338·ÖÇóµ÷¼Á +10 vants 2026-04-05 11/550 2026-04-08 16:02 by screening
[¿¼ÑÐ] ²ÄÁÏÇóµ÷¼Á +18 Ò»ÑùYWY 2026-04-05 18/900 2026-04-07 15:49 by dxlg
[¿¼ÑÐ] ÉúÎïµ÷¼Á +5 ³È×Ó³È×Ó³È×Ó°¡ 2026-04-05 9/450 2026-04-07 15:31 by Éϰ¶¿ì¿ì
[¿¼ÑÐ] 338Çóµ÷¼Á +4 ÎÒÏëÉϰ¶ii 2026-04-05 4/200 2026-04-06 21:04 by ľ×Ó¾ý1218
[¿¼ÑÐ] 26×ÔÈ»µØÀíѧ303·ÖÇóµ÷¼Á +4 Ò»Õ½³É˶°¡°¡°¡° 2026-04-06 9/450 2026-04-06 20:35 by lin-da
[¿¼ÑÐ] 283Çóµ÷¼Á +5 baiiyu 2026-04-05 6/300 2026-04-05 20:35 by à£à£à£0119
ÐÅÏ¢Ìáʾ
ÇëÌî´¦ÀíÒâ¼û