| 查看: 1739 | 回复: 5 | ||
zhangguangping木虫 (著名写手)
|
[求助]
关于原胞大小的标定问题
|
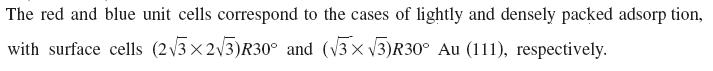
siesta |
» 猜你喜欢
同年申请2项不同项目,第1个项目里不写第2个项目的信息,可以吗
已经有6人回复
依托企业入选了国家启明计划青年人才。有无高校可以引进的。
已经有6人回复
依托企业入选了国家启明计划青年人才。有无高校可以引进的。
已经有10人回复
天津大学招2026.09的博士生,欢迎大家推荐交流(博导是本人)
已经有9人回复
有院领导为了换新车,用横向课题经费买了俩车
已经有10人回复
遇见不省心的家人很难过
已经有24人回复
AI 太可怕了,写基金时,提出想法,直接生成的文字比自己想得深远,还有科学性
已经有6人回复
酰胺脱乙酰基
已经有13人回复
有时候真觉得大城市人没有县城人甚至个体户幸福
已经有10人回复


2楼2011-05-14 10:14:37
zhangguangping
木虫 (著名写手)
- 1ST强帖: 23
- 应助: 71 (初中生)
- 贵宾: 0.031
- 金币: 1973.1
- 散金: 9059
- 红花: 79
- 帖子: 2681
- 在线: 2128.8小时
- 虫号: 529624
- 注册: 2008-03-20
- 性别: GG
- 专业: 原子和分子物理

3楼2011-05-14 11:03:16
zhangguangping
木虫 (著名写手)
- 1ST强帖: 23
- 应助: 71 (初中生)
- 贵宾: 0.031
- 金币: 1973.1
- 散金: 9059
- 红花: 79
- 帖子: 2681
- 在线: 2128.8小时
- 虫号: 529624
- 注册: 2008-03-20
- 性别: GG
- 专业: 原子和分子物理

4楼2011-05-17 00:08:39
yulin9988
木虫 (小有名气)
- 应助: 1 (幼儿园)
- 金币: 3309.1
- 红花: 1
- 帖子: 139
- 在线: 159.6小时
- 虫号: 70048
- 注册: 2005-05-24
- 性别: MM
- 专业: 理论和计算化学
5楼2011-05-17 19:07:45
zhangguangping
木虫 (著名写手)
- 1ST强帖: 23
- 应助: 71 (初中生)
- 贵宾: 0.031
- 金币: 1973.1
- 散金: 9059
- 红花: 79
- 帖子: 2681
- 在线: 2128.8小时
- 虫号: 529624
- 注册: 2008-03-20
- 性别: GG
- 专业: 原子和分子物理
★
uuv2010(金币+1): 多谢提示! 2011-09-20 23:29:15
uuv2010(金币+1): 多谢提示! 2011-09-20 23:29:15

6楼2011-09-20 09:44:27













回复此楼