| ²é¿´: 1849 | »Ø¸´: 22 | |
pengyehuiľ³æ (ÕýʽдÊÖ)
|
|
|
11Â¥2011-05-11 14:57:22
|
|
lenienterÖÁ×ðľ³æ (ÖªÃû×÷¼Ò)
|
|
|
12Â¥2011-05-11 15:07:40
|
|
lenienterÖÁ×ðľ³æ (ÖªÃû×÷¼Ò)
|
|
|
13Â¥2011-05-11 15:13:14
|
|
pengyehuiľ³æ (ÕýʽдÊÖ)
|
|
|
14Â¥2011-05-11 15:13:30
|
|
pengyehuiľ³æ (ÕýʽдÊÖ)
|
¡¾´ð°¸¡¿Ó¦Öú»ØÌû
¡ï ¡ï
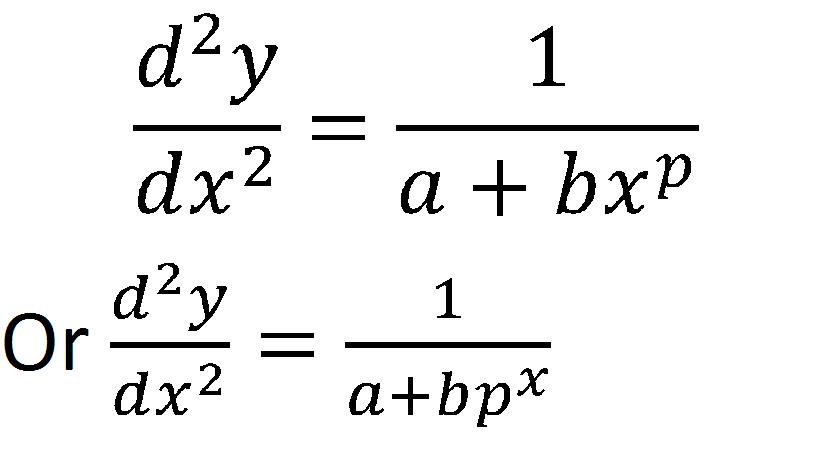
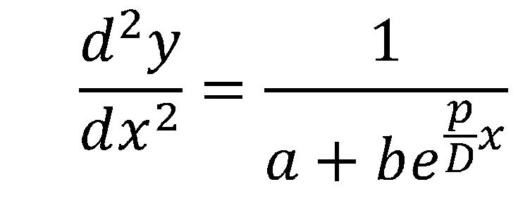
lenienter(½ð±Ò+5): ¶àл£¡ 2011-05-11 15:27:43 soliton923(½ð±Ò+2): Ê®·Ö¸Ðлר¼ÒΪ³æ×Ó½â´ðÎÊÌâ~~ 2011-05-11 15:59:38 lenienter(½ð±Ò+20): Ïȸø½ð±Ò£¬È»ºóÄã°ïæ¿´Ò»ÏÂÄÇÁ½¸ö·½³Ì£¬ÓÐûÓнâÎöʽµÄ½â£¿¶àл!!! 2011-05-11 22:40:05 |
|
15Â¥2011-05-11 15:19:35
|
|
lenienterÖÁ×ðľ³æ (ÖªÃû×÷¼Ò)
|
|
|
16Â¥2011-05-11 15:29:28
|
|
pengyehuiľ³æ (ÕýʽдÊÖ)
|
|
|
17Â¥2011-05-12 08:24:49
|
|
lenienterÖÁ×ðľ³æ (ÖªÃû×÷¼Ò)
|
|
|
18Â¥2011-05-12 13:04:58
|
|
pengyehuiľ³æ (ÕýʽдÊÖ)
|
|
|
19Â¥2011-05-12 13:10:02
|
|
lenienterÖÁ×ðľ³æ (ÖªÃû×÷¼Ò)
|
|
|
20Â¥2011-05-12 13:11:43
|
|













»Ø¸´´ËÂ¥