| 查看: 541 | 回复: 2 | |
[求助]
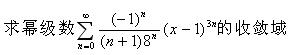
求收敛域
|
|
|
|
|
pengyehui木虫 (正式写手)
|
|
|
2楼2011-05-07 16:09:30
|
|
pengyehui木虫 (正式写手)
|
|
|
3楼2011-05-07 16:10:40
|
|














回复此楼