| 查看: 371 | 回复: 1 | |
xiaowuheng金虫 (正式写手)
|
[求助]
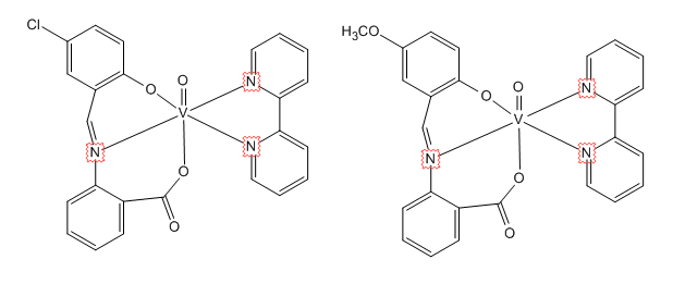
不同取代基的配合物键合DNA 的问题
|
![]() |
|
|
|
|
xiaowuheng金虫 (正式写手)
|
|
![]() |
|
|
2楼2011-05-02 18:03:05
|
|














回复此楼