| ²é¿´: 358 | »Ø¸´: 4 | ||
СÓñÓñ¶ù½ð³æ (СÓÐÃûÆø)
|
[ÇóÖú]
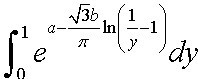
Çë½Ì¸÷λ¸ßÊÖ´Ë»ý·ÖÌ⣡£¡£¡£¡£¡ÌâÄ¿ÒѾ·ÅÉÏÈ¥ÁË¡£¡£¡£²»ºÃÒâ˼°¡£¡£¡£¡
|
|
Çó»ý·Ö Çë¸÷λ´óÏÀ°ïæд³öÏêϸ¹ý³Ì¡£¡£·Ç³£¸ÐлÁË£¡£¡ [ Last edited by СÓñÓñ¶ù on 2011-4-26 at 11:45 ] |
» ²ÂÄãϲ»¶
299Çóµ÷¼Á
ÒѾÓÐ8È˻ظ´
Ò»Ö¾Ô¸±±¾©Àí¹¤´óѧ±¾¿Æ211²ÄÁϹ¤³Ì294Çóµ÷¼Á
ÒѾÓÐ6È˻ظ´
300Çóµ÷¼Á£¬²ÄÁÏ¿ÆÑ§Ó¢Ò»Êý¶þ
ÒѾÓÐ8È˻ظ´
ÕÐÊÕÉúÎïѧ/ϸ°ûÉúÎïѧµ÷¼Á
ÒѾÓÐ5È˻ظ´
070305¸ß·Ö×Ó»¯Ñ§ÓëÎïÀí 304·ÖÇóµ÷¼Á
ÒѾÓÐ7È˻ظ´
289Çóµ÷¼Á
ÒѾÓÐ13È˻ظ´
Ò»Ö¾Ô¸¹þ¶û±õ¹¤Òµ´óѧ²ÄÁÏÓ뻯¹¤·½Ïò336·Ö
ÒѾÓÐ9È˻ظ´
081200-11408-276ѧ˶Çóµ÷¼Á
ÒѾÓÐ6È˻ظ´
µ÷¼ÁÇóԺУÕÐÊÕ
ÒѾÓÐ5È˻ظ´
µ÷¼Á310
ÒѾÓÐ8È˻ظ´

pengyehui
ľ³æ (ÕýʽдÊÖ)
- ÊýѧEPI: 3
- Ó¦Öú: 15 (СѧÉú)
- ¹ó±ö: 0.03
- ½ð±Ò: 4215.2
- ºì»¨: 5
- Ìû×Ó: 510
- ÔÚÏß: 190.6Сʱ
- ³æºÅ: 462928
- ×¢²á: 2007-11-19
- ÐÔ±ð: GG
- רҵ: ¼ÆËãÊýѧÓë¿ÆÑ§¹¤³Ì¼ÆËã
2Â¥2011-04-26 12:33:37
pengyehui
ľ³æ (ÕýʽдÊÖ)
- ÊýѧEPI: 3
- Ó¦Öú: 15 (СѧÉú)
- ¹ó±ö: 0.03
- ½ð±Ò: 4215.2
- ºì»¨: 5
- Ìû×Ó: 510
- ÔÚÏß: 190.6Сʱ
- ³æºÅ: 462928
- ×¢²á: 2007-11-19
- ÐÔ±ð: GG
- רҵ: ¼ÆËãÊýѧÓë¿ÆÑ§¹¤³Ì¼ÆËã
3Â¥2011-04-26 12:34:06
pengyehui
ľ³æ (ÕýʽдÊÖ)
- ÊýѧEPI: 3
- Ó¦Öú: 15 (СѧÉú)
- ¹ó±ö: 0.03
- ½ð±Ò: 4215.2
- ºì»¨: 5
- Ìû×Ó: 510
- ÔÚÏß: 190.6Сʱ
- ³æºÅ: 462928
- ×¢²á: 2007-11-19
- ÐÔ±ð: GG
- רҵ: ¼ÆËãÊýѧÓë¿ÆÑ§¹¤³Ì¼ÆËã
¡¾´ð°¸¡¿Ó¦Öú»ØÌû
¡ï
СÓñÓñ¶ù(½ð±Ò+5): Çëд³öÒ»ÏÂÇó½â¹ý³Ì¡£¡£´ð°¸ÎÒÊÇÖªµÀµÄ¡£¡£¾ÍÊDz»ÖªµÀÔõô×öµÄŶ~ллÀ²£¡ 2011-04-26 13:24:03
math105(½ð±Ò+1): »¶Ó²ÎÓëÌÖÂÛ¡£ 2011-04-26 17:27:21
СÓñÓñ¶ù(½ð±Ò+5): Çëд³öÒ»ÏÂÇó½â¹ý³Ì¡£¡£´ð°¸ÎÒÊÇÖªµÀµÄ¡£¡£¾ÍÊDz»ÖªµÀÔõô×öµÄŶ~ллÀ²£¡ 2011-04-26 13:24:03
math105(½ð±Ò+1): »¶Ó²ÎÓëÌÖÂÛ¡£ 2011-04-26 17:27:21
4Â¥2011-04-26 13:00:12
СÓñÓñ¶ù
½ð³æ (СÓÐÃûÆø)
- Ó¦Öú: 0 (Ó×¶ùÔ°)
- ½ð±Ò: 768.9
- É¢½ð: 15
- Ìû×Ó: 110
- ÔÚÏß: 39.7Сʱ
- ³æºÅ: 1147880
- ×¢²á: 2010-11-16
- ÐÔ±ð: MM
- רҵ: ÊýÀíͳ¼Æ

5Â¥2011-04-26 13:15:44














»Ø¸´´ËÂ¥