| ²é¿´: 248 | »Ø¸´: 0 | |||
chunchi77726гæ (³õÈëÎÄ̳)
|
[½»Á÷]
¡¾ÇóÖú¡¿irºÍraman¹âÆ×ÄÜ·ñÇó·ÖÏòÁ¿£¨sfg£©
|
|
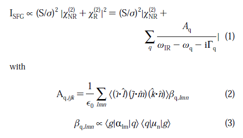
×î½üÏëËãpolymerµÄSFG¹âÆ× ÆäÌØÐÔ×îºóµÄ¹âÆ×Ç¿¶ÈΪ£¨irÏòÁ¿£©³ËÉÏ£¨ramanÏòÁ¿£© µ«gaussianÅܳöÀ´µÄ¹âÆ×ÊÇ×ÜtotalµÄ¹âÆ×Ç¿¶È ²¢²»ÄÜ×öÏà³ËµÄ¶¯×÷ ÄÜÓа취ÏÂÆäËûÖ¸Áî½â›Qß@‚€†–î}†á¨B |
» ²ÂÄãϲ»¶
ÆøÏàÉ«Æ×µã²»×Å»ð
ÒѾÓÐ4È˻ظ´
»¯¹¤°²È«Óйصĸ´Ï°Ìá¸Ù
ÒѾÓÐ0È˻ظ´
ÎïÀí»¯Ñ§ÂÛÎÄÈóÉ«/·ÒëÔõôÊÕ·Ñ?
ÒѾÓÐ275È˻ظ´
¹ú¼Ò¼¶È˲ſÎÌâ×éÕÐÊÕ2026ÄêÈëѧ²©Ê¿
ÒѾÓÐ2È˻ظ´
2026µÚ¶þ½ì¹âµç×ÓÓë°ëµ¼ÌåÆ÷¼þÇ°ÑØ¼¼ÊõÑÐÌֻᡪ¡ª¹âµç×Ó¸³ÄÜ¡¤°ëµ¼Ì崴о£¡
ÒѾÓÐ1È˻ظ´
É¢½ð
ÒѾÓÐ72È˻ظ´
¹âµç×Ó¸³ÄÜ¡¤°ëµ¼Ì崴о£¡
ÒѾÓÐ1È˻ظ´
¹âµç×Ó¸³ÄÜ¡¤°ëµ¼Ì崴о£¡
ÒѾÓÐ0È˻ظ´
Õã½Ê¦·¶´óѧ¹ú¼Ò½ÜÇàÑîÆô»ª½ÌÊÚÍŶÓÕÐÊÕ2026Ä격ʿÑо¿Éú
ÒѾÓÐ32È˻ظ´
Ïã¸ÛÖÐÎÄ´óѧ£¨ÉîÛÚ£©2026Äê³ÏƸº£ÄÚÍâÓÅÇà
ÒѾÓÐ0È˻ظ´












»Ø¸´´ËÂ¥