| 查看: 1552 | 回复: 8 | |||
[交流]
【求助】内酯水解可逆吗? 已有6人参与
|
|
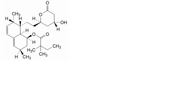
请看下面这个分子结构,做成制剂后做影响因素试验,发现在60度时5d有关物质总比10d的有关物质多,仔细分析图谱发现其中有一个水解产生的杂质峰在5d之后的10d检测中会变小很多,难道这个内酯的水解是可逆的吗? [ Last edited by gutidog on 2011-4-11 at 15:38 ] |
» 猜你喜欢
085600材料与化工301分求调剂院校
已经有5人回复
081700,311,求调剂
已经有15人回复
一志愿北京化工085600 310分求调剂
已经有18人回复
材料与化工371求调剂
已经有14人回复
336材料与化工085600求调剂
已经有7人回复
材料334求调剂
已经有18人回复
331求调剂
已经有8人回复
332求调剂
已经有17人回复
一志愿南京航空航天大学 材料与化工329分求调剂
已经有4人回复
材料专硕322
已经有7人回复
» 本主题相关商家推荐: (我也要在这里推广)
» 本主题相关价值贴推荐,对您同样有帮助:
大家碰到过难以水解的酯过没?
已经有48人回复
噁二唑类酯类的水解
已经有4人回复
关于酯类水解的问题
已经有4人回复
请教酯水解的问题
已经有3人回复
做有机合成的同志,帮个忙吧……谢谢喽!方法可行者,可有金币奖励哦……
已经有23人回复
请问明胶具有热不可逆性吗?
已经有6人回复
【求助】乙酰胺水解问题
已经有5人回复

2楼2011-04-11 15:48:20

3楼2011-04-11 16:08:36
4楼2011-04-11 16:49:20

5楼2011-04-12 13:38:05
chenjiajiang198
至尊木虫 (著名写手)
- 应助: 136 (高中生)
- 金币: 12595.5
- 散金: 15
- 红花: 13
- 帖子: 1171
- 在线: 206小时
- 虫号: 440097
- 注册: 2007-10-26
- 性别: GG
- 专业: 中药药效物质
6楼2011-04-13 00:04:15
041033045009
金虫 (正式写手)
- PhEPI: 1
- 应助: 0 (幼儿园)
- 金币: 2493.1
- 散金: 13
- 红花: 1
- 帖子: 463
- 在线: 315.4小时
- 虫号: 732059
- 注册: 2009-03-26
- 专业: 中药药效物质
7楼2011-04-13 09:04:56

8楼2011-08-31 09:00:15
HELIANSHUN
银虫 (小有名气)
- 应助: 2 (幼儿园)
- 金币: 80.1
- 散金: 107
- 帖子: 109
- 在线: 103小时
- 虫号: 1165140
- 注册: 2010-12-08
- 性别: GG
- 专业: 高分子合成化学

9楼2022-04-15 16:13:19














回复此楼