| 查看: 204 | 回复: 1 | ||
xiaowuheng金虫 (正式写手)
|
[求助]
葡萄糖配合物
|
|
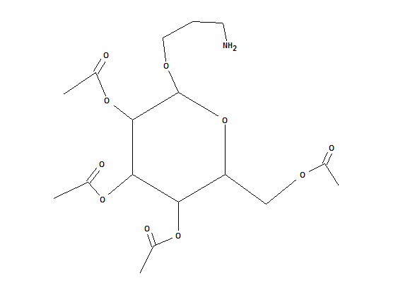
最近想做一个糖配合物,首先以葡萄糖为原料,乙酰化,溴代,然后合成带氨基的化合物,最后和金属配位,如下图: 在氨基上配个金属,小虫是初学者,不知道 这个酯基上会不会和金属配位, 请大家指点指点,金币不够,还可以再加,麻烦大家了。 [ Last edited by xiaowuheng on 2011-4-5 at 23:38 ] |
» 猜你喜欢
售SCI一区文章,我:8 O5 51O 54,科目齐全,可+急
已经有3人回复
售SCI一区文章,我:8 O5 51O 54,科目齐全,可+急
已经有3人回复
售SCI一区文章,我:8 O5 51O 54,科目齐全,可+急
已经有4人回复
售SCI一区文章,我:8 O5 51O 54,科目齐全,可+急
已经有4人回复
售SCI一区文章,我:8 O5 51O 54,科目齐全,可+急
已经有4人回复
售SCI一区文章,我:8 O5 51O 54,科目齐全,可+急
已经有4人回复
售SCI一区文章,我:8 O5 51O 54,科目齐全,可+急
已经有4人回复
售SCI一区文章,我:8 O5 51O 54,科目齐全,可+急
已经有3人回复
售SCI一区文章,我:8 O5 51O 54,科目齐全,可+急
已经有3人回复
售SCI一区文章,我:8 O5 51O 54,科目齐全,可+急
已经有4人回复

xiaowuheng
金虫 (正式写手)
- 应助: 0 (幼儿园)
- 金币: 458.4
- 散金: 27
- 帖子: 324
- 在线: 73.6小时
- 虫号: 1070382
- 注册: 2010-08-06
- 性别: GG
- 专业: 生物无机化学

2楼2011-05-01 09:50:37













回复此楼