| 查看: 233 | 回复: 2 | ||
oldskin铁杆木虫 (职业作家)
|
[交流]
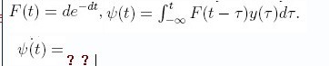
【求助】求导都忘记了!求助大家解答!真该打 大学的数学忘干净了 已有1人参与
|

pengyehui
木虫 (正式写手)
- 数学EPI: 3
- 应助: 15 (小学生)
- 贵宾: 0.03
- 金币: 4215.2
- 红花: 5
- 帖子: 510
- 在线: 190.6小时
- 虫号: 462928
- 注册: 2007-11-19
- 性别: GG
- 专业: 计算数学与科学工程计算
2楼2011-04-04 08:08:41
pengyehui
木虫 (正式写手)
- 数学EPI: 3
- 应助: 15 (小学生)
- 贵宾: 0.03
- 金币: 4215.2
- 红花: 5
- 帖子: 510
- 在线: 190.6小时
- 虫号: 462928
- 注册: 2007-11-19
- 性别: GG
- 专业: 计算数学与科学工程计算
3楼2011-04-04 08:09:04














回复此楼